
Get the free Draft Agreement form for - NAHEP
Show details
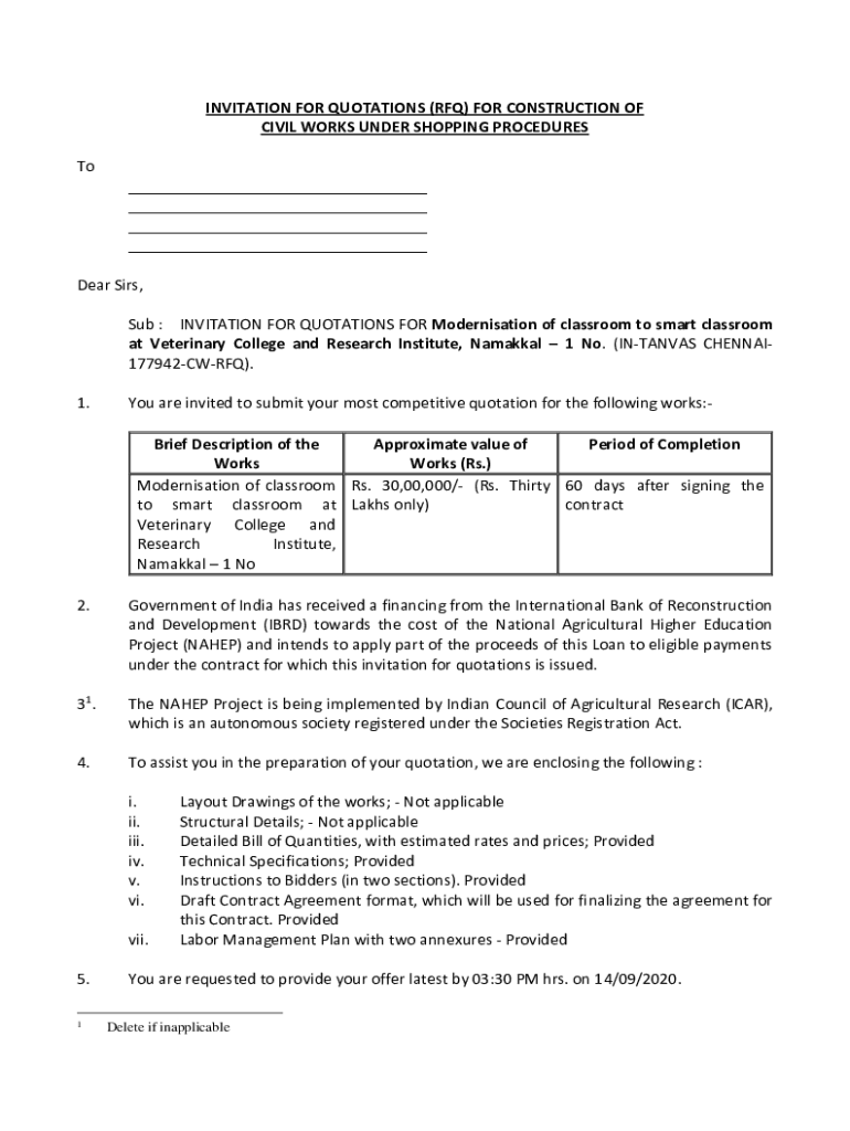
INVITATION FOR QUOTATIONS (RFQ) FOR CONSTRUCTION OF
CIVIL WORKS UNDER SHOPPING PROCEDURES
To
___
___
___
___
Dear Sirs,
Sub : INVITATION FOR QUOTATIONS FOR Modernization of classroom to smart classroom
at
We are not affiliated with any brand or entity on this form
Get, Create, Make and Sign draft agreement form for

Edit your draft agreement form for form online
Type text, complete fillable fields, insert images, highlight or blackout data for discretion, add comments, and more.

Add your legally-binding signature
Draw or type your signature, upload a signature image, or capture it with your digital camera.

Share your form instantly
Email, fax, or share your draft agreement form for form via URL. You can also download, print, or export forms to your preferred cloud storage service.
How to edit draft agreement form for online
Follow the guidelines below to use a professional PDF editor:
1
Register the account. Begin by clicking Start Free Trial and create a profile if you are a new user.
2
Prepare a file. Use the Add New button. Then upload your file to the system from your device, importing it from internal mail, the cloud, or by adding its URL.
3
Edit draft agreement form for. Add and change text, add new objects, move pages, add watermarks and page numbers, and more. Then click Done when you're done editing and go to the Documents tab to merge or split the file. If you want to lock or unlock the file, click the lock or unlock button.
4
Save your file. Select it from your records list. Then, click the right toolbar and select one of the various exporting options: save in numerous formats, download as PDF, email, or cloud.
It's easier to work with documents with pdfFiller than you could have ever thought. You may try it out for yourself by signing up for an account.
Uncompromising security for your PDF editing and eSignature needs
Your private information is safe with pdfFiller. We employ end-to-end encryption, secure cloud storage, and advanced access control to protect your documents and maintain regulatory compliance.
How to fill out draft agreement form for

How to fill out draft agreement form for
01
Obtain a copy of the draft agreement form from the appropriate source.
02
Fill in the relevant personal information such as names, addresses, and contact details of the parties involved.
03
Clearly outline the terms and conditions of the agreement, including the obligations of each party.
04
Review the draft agreement form carefully to ensure accuracy and completeness.
05
Sign and date the agreement form once all parties are in agreement.
Who needs draft agreement form for?
01
Individuals or businesses who are entering into a legal agreement with another party.
02
Professionals such as lawyers, real estate agents, or consultants who need to document agreements with their clients.
03
Any party seeking to formalize a business transaction or partnership.
Fill
form
: Try Risk Free
For pdfFiller’s FAQs
Below is a list of the most common customer questions. If you can’t find an answer to your question, please don’t hesitate to reach out to us.
How can I modify draft agreement form for without leaving Google Drive?
By integrating pdfFiller with Google Docs, you can streamline your document workflows and produce fillable forms that can be stored directly in Google Drive. Using the connection, you will be able to create, change, and eSign documents, including draft agreement form for, all without having to leave Google Drive. Add pdfFiller's features to Google Drive and you'll be able to handle your documents more effectively from any device with an internet connection.
Can I create an eSignature for the draft agreement form for in Gmail?
You can easily create your eSignature with pdfFiller and then eSign your draft agreement form for directly from your inbox with the help of pdfFiller’s add-on for Gmail. Please note that you must register for an account in order to save your signatures and signed documents.
How do I fill out the draft agreement form for form on my smartphone?
The pdfFiller mobile app makes it simple to design and fill out legal paperwork. Complete and sign draft agreement form for and other papers using the app. Visit pdfFiller's website to learn more about the PDF editor's features.
What is draft agreement form for?
The draft agreement form is used to outline the preliminary terms and conditions of a proposed agreement before it is finalized.
Who is required to file draft agreement form for?
Typically, parties involved in a contractual agreement are required to file the draft agreement form, especially when seeking regulatory approval or during negotiations.
How to fill out draft agreement form for?
To fill out the draft agreement form, include basic information about the parties, the terms of the agreement, any relevant dates, and signatures if necessary.
What is the purpose of draft agreement form for?
The purpose of the draft agreement form is to provide a structured framework for discussions and modifications before reaching a final contract.
What information must be reported on draft agreement form for?
The form must report details such as the names of the parties involved, the purpose of the agreement, key terms and conditions, and any regulatory disclosures.
Fill out your draft agreement form for online with pdfFiller!
pdfFiller is an end-to-end solution for managing, creating, and editing documents and forms in the cloud. Save time and hassle by preparing your tax forms online.

Draft Agreement Form For is not the form you're looking for?Search for another form here.
Relevant keywords
Related Forms
If you believe that this page should be taken down, please follow our DMCA take down process
here
.
This form may include fields for payment information. Data entered in these fields is not covered by PCI DSS compliance.