
Get the free El Do Visitor's Guide - Experience El Dorado
Show details
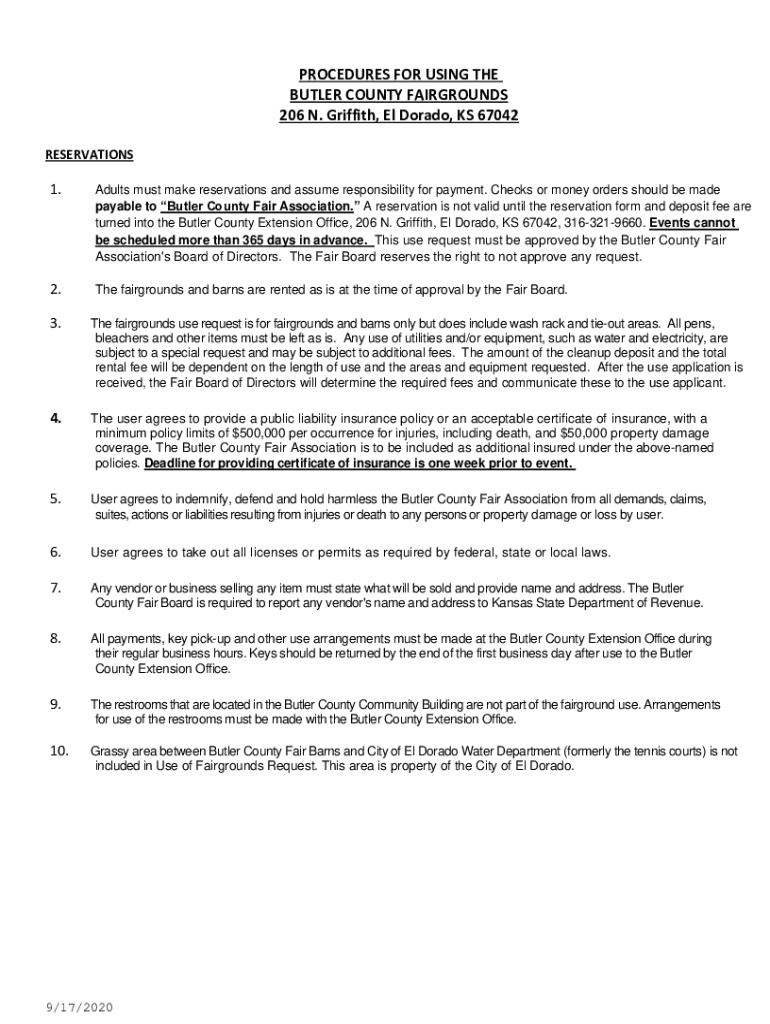
PROCEDURES FOR USING THE BUTLER COUNTY FAIRGROUNDS 206 N. Griffith, El Dorado, KS 67042 RESERVATIONS1. Adults must make reservations and assume responsibility for payment. Checks or money orders should
We are not affiliated with any brand or entity on this form
Get, Create, Make and Sign el do visitors guide

Edit your el do visitors guide form online
Type text, complete fillable fields, insert images, highlight or blackout data for discretion, add comments, and more.

Add your legally-binding signature
Draw or type your signature, upload a signature image, or capture it with your digital camera.

Share your form instantly
Email, fax, or share your el do visitors guide form via URL. You can also download, print, or export forms to your preferred cloud storage service.
How to edit el do visitors guide online
Here are the steps you need to follow to get started with our professional PDF editor:
1
Register the account. Begin by clicking Start Free Trial and create a profile if you are a new user.
2
Upload a file. Select Add New on your Dashboard and upload a file from your device or import it from the cloud, online, or internal mail. Then click Edit.
3
Edit el do visitors guide. Rearrange and rotate pages, add new and changed texts, add new objects, and use other useful tools. When you're done, click Done. You can use the Documents tab to merge, split, lock, or unlock your files.
4
Save your file. Select it in the list of your records. Then, move the cursor to the right toolbar and choose one of the available exporting methods: save it in multiple formats, download it as a PDF, send it by email, or store it in the cloud.
pdfFiller makes dealing with documents a breeze. Create an account to find out!
Uncompromising security for your PDF editing and eSignature needs
Your private information is safe with pdfFiller. We employ end-to-end encryption, secure cloud storage, and advanced access control to protect your documents and maintain regulatory compliance.
How to fill out el do visitors guide

How to fill out el do visitors guide
01
Obtain a copy of the El Do Visitors Guide from a local tourism office or visitor center.
02
Read through the guide to familiarize yourself with the attractions, accommodations, dining options, and activities in El Do.
03
Use the map included in the guide to plan out your itinerary and make note of any must-see locations.
04
Fill out any necessary information such as your name, contact information, and travel dates in the designated spaces.
05
Make notes or highlight any specific places or events that interest you for easy reference during your trip.
06
Keep the El Do Visitors Guide with you during your visit for quick access to important information and recommendations.
Who needs el do visitors guide?
01
Tourists visiting El Do for the first time
02
People looking for information on attractions and activities in El Do
03
Visitors who want to make the most of their stay in El Do
Fill
form
: Try Risk Free
For pdfFiller’s FAQs
Below is a list of the most common customer questions. If you can’t find an answer to your question, please don’t hesitate to reach out to us.
How can I edit el do visitors guide from Google Drive?
pdfFiller and Google Docs can be used together to make your documents easier to work with and to make fillable forms right in your Google Drive. The integration will let you make, change, and sign documents, like el do visitors guide, without leaving Google Drive. Add pdfFiller's features to Google Drive, and you'll be able to do more with your paperwork on any internet-connected device.
How do I fill out el do visitors guide using my mobile device?
You can easily create and fill out legal forms with the help of the pdfFiller mobile app. Complete and sign el do visitors guide and other documents on your mobile device using the application. Visit pdfFiller’s webpage to learn more about the functionalities of the PDF editor.
How do I edit el do visitors guide on an iOS device?
You can. Using the pdfFiller iOS app, you can edit, distribute, and sign el do visitors guide. Install it in seconds at the Apple Store. The app is free, but you must register to buy a subscription or start a free trial.
What is el do visitors guide?
El Do Visitors Guide is a form used to report information about visitors who have stayed in lodgings in a certain area.
Who is required to file el do visitors guide?
Lodging establishments are required to file el do visitors guide.
How to fill out el do visitors guide?
El Do Visitors Guide can be filled out online or submitted in person with information about the visitors and their stay.
What is the purpose of el do visitors guide?
The purpose of el do visitors guide is to report visitor information for lodging establishments in a specific area.
What information must be reported on el do visitors guide?
Information such as guest names, dates of stay, room rates, and total amount paid must be reported on el do visitors guide.
Fill out your el do visitors guide online with pdfFiller!
pdfFiller is an end-to-end solution for managing, creating, and editing documents and forms in the cloud. Save time and hassle by preparing your tax forms online.

El Do Visitors Guide is not the form you're looking for?Search for another form here.
Relevant keywords
Related Forms
If you believe that this page should be taken down, please follow our DMCA take down process
here
.
This form may include fields for payment information. Data entered in these fields is not covered by PCI DSS compliance.