Get the free A Communication Program for High Volume, High Acuity ...
Show details
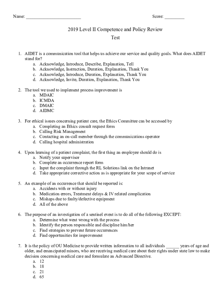
Name: ___Score: ___2019 Level II Competence and Policy Review Test 1. AIDED is a communication tool that helps us achieve our service and quality goals. What does AIDED stand for? a. Acknowledge,
We are not affiliated with any brand or entity on this form
Get, Create, Make and Sign a communication program for
Edit your a communication program for form online
Type text, complete fillable fields, insert images, highlight or blackout data for discretion, add comments, and more.
Add your legally-binding signature
Draw or type your signature, upload a signature image, or capture it with your digital camera.
Share your form instantly
Email, fax, or share your a communication program for form via URL. You can also download, print, or export forms to your preferred cloud storage service.
Editing a communication program for online
In order to make advantage of the professional PDF editor, follow these steps below:
1
Set up an account. If you are a new user, click Start Free Trial and establish a profile.
2
Upload a file. Select Add New on your Dashboard and upload a file from your device or import it from the cloud, online, or internal mail. Then click Edit.
3
Edit a communication program for. Text may be added and replaced, new objects can be included, pages can be rearranged, watermarks and page numbers can be added, and so on. When you're done editing, click Done and then go to the Documents tab to combine, divide, lock, or unlock the file.
4
Get your file. Select the name of your file in the docs list and choose your preferred exporting method. You can download it as a PDF, save it in another format, send it by email, or transfer it to the cloud.
With pdfFiller, it's always easy to deal with documents.
Uncompromising security for your PDF editing and eSignature needs
Your private information is safe with pdfFiller. We employ end-to-end encryption, secure cloud storage, and advanced access control to protect your documents and maintain regulatory compliance.
How to fill out a communication program for
How to fill out a communication program for
01
Identify the purpose of the communication program.
02
Determine the target audience for the program.
03
Decide on the format and content of the communication program.
04
Create a timeline for implementing the program.
05
Gather necessary resources and materials for the program.
06
Distribute the program to the intended audience and gather feedback for future improvements.
Who needs a communication program for?
01
Businesses looking to improve internal or external communication.
02
Non-profit organizations aiming to raise awareness about their cause.
03
Schools or educational institutions seeking to enhance parent-teacher communication.
04
Government agencies wanting to communicate effectively with citizens.
05
Individuals or groups organizing events and needing to inform attendees.
Fill
form
: Try Risk Free
For pdfFiller’s FAQs
Below is a list of the most common customer questions. If you can’t find an answer to your question, please don’t hesitate to reach out to us.
How can I modify a communication program for without leaving Google Drive?
pdfFiller and Google Docs can be used together to make your documents easier to work with and to make fillable forms right in your Google Drive. The integration will let you make, change, and sign documents, like a communication program for, without leaving Google Drive. Add pdfFiller's features to Google Drive, and you'll be able to do more with your paperwork on any internet-connected device.
How do I edit a communication program for straight from my smartphone?
Using pdfFiller's mobile-native applications for iOS and Android is the simplest method to edit documents on a mobile device. You may get them from the Apple App Store and Google Play, respectively. More information on the apps may be found here. Install the program and log in to begin editing a communication program for.
How do I edit a communication program for on an Android device?
You can make any changes to PDF files, like a communication program for, with the help of the pdfFiller Android app. Edit, sign, and send documents right from your phone or tablet. You can use the app to make document management easier wherever you are.
What is a communication program for?
A communication program is used to outline strategies and tactics to effectively communicate with stakeholders.
Who is required to file a communication program for?
Certain organizations or companies may be required to file a communication program as mandated by regulations.
How to fill out a communication program for?
A communication program can be filled out by detailing communication objectives, target audience, key messages, communication channels, and evaluation methods.
What is the purpose of a communication program for?
The purpose of a communication program is to ensure clear and consistent messaging to stakeholders.
What information must be reported on a communication program for?
Information such as communication objectives, target audience, key messages, communication channels, and evaluation methods must be reported on a communication program.
Fill out your a communication program for online with pdfFiller!
pdfFiller is an end-to-end solution for managing, creating, and editing documents and forms in the cloud. Save time and hassle by preparing your tax forms online.
A Communication Program For is not the form you're looking for?Search for another form here.
Relevant keywords
Related Forms
If you believe that this page should be taken down, please follow our DMCA take down process
here
.
This form may include fields for payment information. Data entered in these fields is not covered by PCI DSS compliance.