 
Get the free Managed Services Agreement
                                Show details
                            
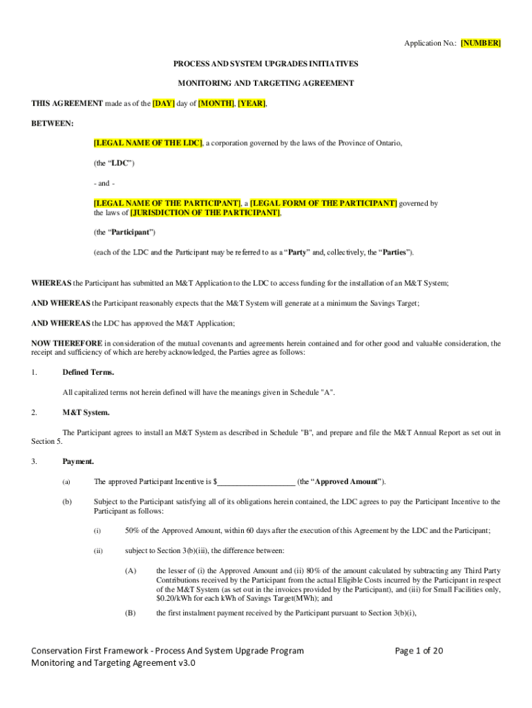
                            Application No.: [NUMBER] PROCESS AND SYSTEM UPGRADES INITIATIVES MONITORING AND TARGETING AGREEMENT THIS AGREEMENT made as of the [DAY] day of [MONTH], [YEAR], BETWEEN: [LEGAL NAME OF THE LDC], a
                            We are not affiliated with any brand or entity on this form
                                    Get, Create, Make and Sign managed services agreement
 
                    Edit your managed services agreement form online
                    Type text, complete fillable fields, insert images, highlight or blackout data for discretion, add comments, and more.
                 
                    Add your legally-binding signature
                    Draw or type your signature, upload a signature image, or capture it with your digital camera.
                 
                    Share your form instantly
                    Email, fax, or share your managed services agreement form via URL. You can also download, print, or export forms to your preferred cloud storage service.
                Editing managed services agreement online
Here are the steps you need to follow to get started with our professional PDF editor:
                                                                                                                            1
                                        Log into your account. If you don't have a profile yet, click Start Free Trial and sign up for one.
                                                                                    2
                                        Simply add a document. Select Add New from your Dashboard and import a file into the system by uploading it from your device or importing it via the cloud, online, or internal mail. Then click Begin editing.
                                                                                    3
                                        Edit managed services agreement. Replace text, adding objects, rearranging pages, and more. Then select the Documents tab to combine, divide, lock or unlock the file.
                                                                                    4
                                        Save your file. Select it from your records list. Then, click the right toolbar and select one of the various exporting options: save in numerous formats, download as PDF, email, or cloud.
                                                                                    It's easier to work with documents with pdfFiller than you can have ever thought. You can sign up for an account to see for yourself.
                                                                                        Uncompromising security for your PDF editing and eSignature needs
Your private information is safe with pdfFiller. We employ end-to-end encryption, secure cloud storage, and advanced access control to protect your documents and maintain regulatory compliance.
        
        
    How to fill out managed services agreement
 
                        How to fill out managed services agreement
01
                                    Review the agreement thoroughly to understand the terms and conditions.
                                
                                                                            
                                        02
                                    Fill in all necessary information such as start date, end date, and scope of services.
                                
                                                                            
                                        03
                                    Include any additional services or add-ons that may be required by the client.
                                
                                                                            
                                        04
                                    Specify the payment terms and conditions including rates and payment schedule.
                                
                                                                            
                                        05
                                    Include any penalties or fees for late payment or breach of contract.
                                
                                                                            
                                        06
                                    Have both parties sign and date the agreement to make it legally binding.
                                
                                                                            
                                        Who needs managed services agreement?
01
                                    Businesses that rely on IT services and want to ensure consistent support and maintenance.
                                
                                                                            
                                        02
                                    Companies looking to outsource their IT management to a third-party provider for efficiency and cost savings.
                                
                                                                            
                                        03
                                    Organizations that want a clear understanding of the services provided and the responsibilities of both parties.
                                
                                                                            
                                        Fill
                                    form
                                : Try Risk Free
                For pdfFiller’s FAQs
Below is a list of the most common customer questions. If you can’t find an answer to your question, please don’t hesitate to reach out to us.
How can I modify managed services agreement without leaving Google Drive?
By combining pdfFiller with Google Docs, you can generate fillable forms directly in Google Drive. No need to leave Google Drive to make edits or sign documents, including managed services agreement. Use pdfFiller's features in Google Drive to handle documents on any internet-connected device.
                                    Can I create an electronic signature for signing my managed services agreement in Gmail?
It's easy to make your eSignature with pdfFiller, and then you can sign your managed services agreement right from your Gmail inbox with the help of pdfFiller's add-on for Gmail. This is a very important point: You must sign up for an account so that you can save your signatures and signed documents.
                                    How do I complete managed services agreement on an Android device?
On an Android device, use the pdfFiller mobile app to finish your managed services agreement. The program allows you to execute all necessary document management operations, such as adding, editing, and removing text, signing, annotating, and more. You only need a smartphone and an internet connection.
                                    What is managed services agreement?
Managed services agreement is a contract between a service provider and a client where the provider manages and maintains the client's IT infrastructure and/or end-user systems.
                                    Who is required to file managed services agreement?
Service providers who provide managed services to clients are required to file the managed services agreement.
                                    How to fill out managed services agreement?
To fill out a managed services agreement, include details such as services provided, service level agreements, terms and conditions, pricing, and termination clauses.
                                    What is the purpose of managed services agreement?
The purpose of a managed services agreement is to outline the scope of services, responsibilities of the provider and client, and terms of the agreement.
                                    What information must be reported on managed services agreement?
The managed services agreement must include details of services provided, service level agreements, pricing, terms and conditions, and termination clauses.
                                    Fill out your managed services agreement online with pdfFiller!
                    pdfFiller is an end-to-end solution for managing, creating, and editing documents and forms in the cloud. Save time and hassle by preparing your tax forms online.
 
Managed Services Agreement is not the form you're looking for?Search for another form here.
Relevant keywords
Related Forms
If you believe that this page should be taken down, please follow our DMCA take down process
                here
                .
            
        This form may include fields for payment information. Data entered in these fields is not covered by PCI DSS compliance.
         
                     
                         
                         
                         
                         
                        