
Get the free Laboratory Safety - Clayton State University
Show details
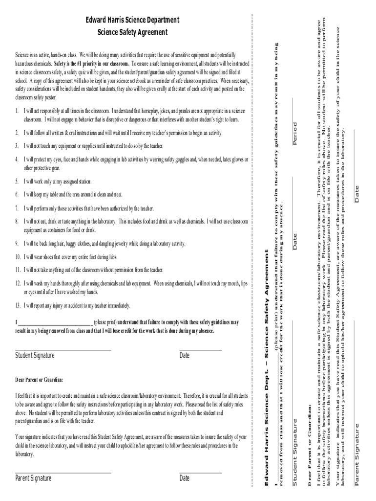
I will protect my eyes, face and hands while engaging in lab activities by wearing safety goggles and, when needed, latex gloves or other protective gear.5. I will work only at my assigned station.6.
We are not affiliated with any brand or entity on this form
Get, Create, Make and Sign laboratory safety - clayton

Edit your laboratory safety - clayton form online
Type text, complete fillable fields, insert images, highlight or blackout data for discretion, add comments, and more.

Add your legally-binding signature
Draw or type your signature, upload a signature image, or capture it with your digital camera.

Share your form instantly
Email, fax, or share your laboratory safety - clayton form via URL. You can also download, print, or export forms to your preferred cloud storage service.
How to edit laboratory safety - clayton online
Follow the steps below to take advantage of the professional PDF editor:
1
Create an account. Begin by choosing Start Free Trial and, if you are a new user, establish a profile.
2
Simply add a document. Select Add New from your Dashboard and import a file into the system by uploading it from your device or importing it via the cloud, online, or internal mail. Then click Begin editing.
3
Edit laboratory safety - clayton. Rearrange and rotate pages, add and edit text, and use additional tools. To save changes and return to your Dashboard, click Done. The Documents tab allows you to merge, divide, lock, or unlock files.
4
Get your file. Select your file from the documents list and pick your export method. You may save it as a PDF, email it, or upload it to the cloud.
pdfFiller makes working with documents easier than you could ever imagine. Register for an account and see for yourself!
Uncompromising security for your PDF editing and eSignature needs
Your private information is safe with pdfFiller. We employ end-to-end encryption, secure cloud storage, and advanced access control to protect your documents and maintain regulatory compliance.
How to fill out laboratory safety - clayton

How to fill out laboratory safety - clayton
01
Always wear appropriate personal protective equipment such as lab coats, gloves, and safety goggles.
02
Familiarize yourself with the location and proper use of safety equipment such as emergency showers and eyewash stations.
03
Follow proper procedures for handling and disposing of chemicals.
04
Keep work areas clean and organized to prevent spills and accidents.
05
Report any unsafe conditions or incidents to your supervisor immediately.
Who needs laboratory safety - clayton?
01
Anyone working in a laboratory setting, such as researchers, students, and lab technicians, at Clayton University.
Fill
form
: Try Risk Free
For pdfFiller’s FAQs
Below is a list of the most common customer questions. If you can’t find an answer to your question, please don’t hesitate to reach out to us.
How can I get laboratory safety - clayton?
The pdfFiller premium subscription gives you access to a large library of fillable forms (over 25 million fillable templates) that you can download, fill out, print, and sign. In the library, you'll have no problem discovering state-specific laboratory safety - clayton and other forms. Find the template you want and tweak it with powerful editing tools.
How do I edit laboratory safety - clayton in Chrome?
Get and add pdfFiller Google Chrome Extension to your browser to edit, fill out and eSign your laboratory safety - clayton, which you can open in the editor directly from a Google search page in just one click. Execute your fillable documents from any internet-connected device without leaving Chrome.
Can I create an electronic signature for the laboratory safety - clayton in Chrome?
You can. With pdfFiller, you get a strong e-signature solution built right into your Chrome browser. Using our addon, you may produce a legally enforceable eSignature by typing, sketching, or photographing it. Choose your preferred method and eSign in minutes.
What is laboratory safety - clayton?
Laboratory Safety - Clayton refers to the set of guidelines and protocols put in place to ensure the safety of individuals working in a laboratory environment.
Who is required to file laboratory safety - clayton?
All individuals or organizations operating laboratories in Clayton are required to file laboratory safety reports.
How to fill out laboratory safety - clayton?
Laboratory safety reports in Clayton can be filled out online through the designated platform provided by the regulatory authority.
What is the purpose of laboratory safety - clayton?
The purpose of laboratory safety reports in Clayton is to ensure that laboratories are following safety protocols and regulations to protect individuals and the environment.
What information must be reported on laboratory safety - clayton?
Laboratory safety reports in Clayton must include information about the type of laboratory, safety measures in place, handling of hazardous materials, and emergency procedures.
Fill out your laboratory safety - clayton online with pdfFiller!
pdfFiller is an end-to-end solution for managing, creating, and editing documents and forms in the cloud. Save time and hassle by preparing your tax forms online.

Laboratory Safety - Clayton is not the form you're looking for?Search for another form here.
Relevant keywords
Related Forms
If you believe that this page should be taken down, please follow our DMCA take down process
here
.
This form may include fields for payment information. Data entered in these fields is not covered by PCI DSS compliance.