Get the free MONTGOMERY COUNTY CAFETERIA PLAN ... - MCBenefits.org
Show details
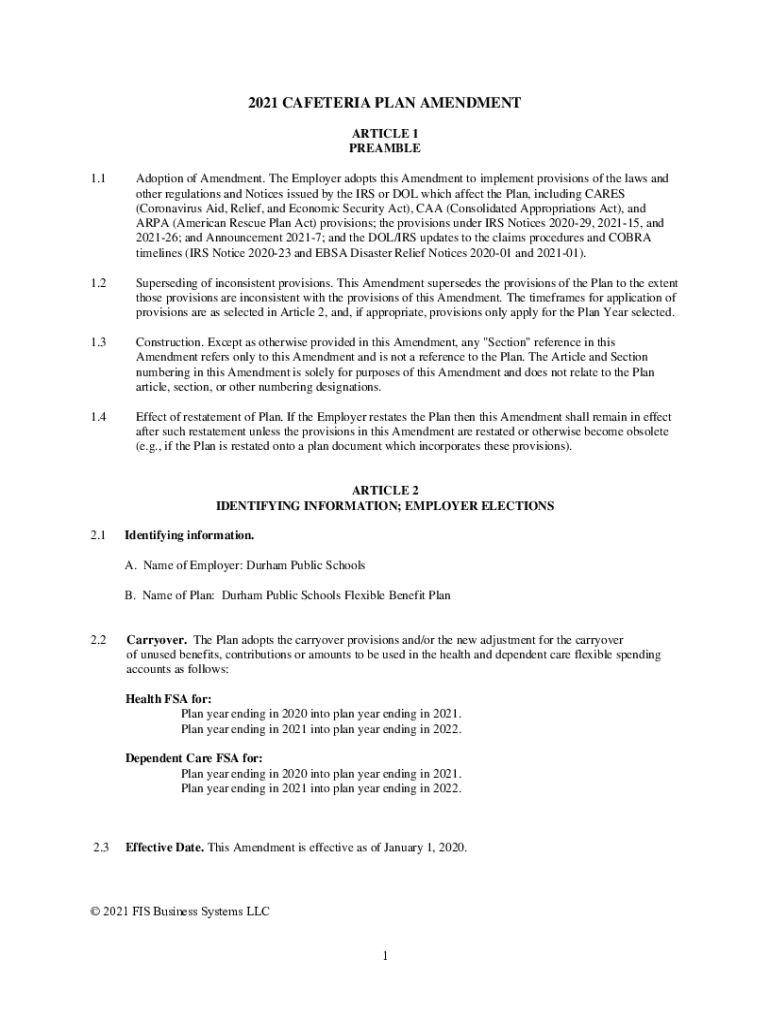
2021 CAFETERIA PLAN AMENDMENT ARTICLE 1 PREAMBLE 1.1Adoption of Amendment. The Employer adopts this Amendment to implement provisions of the laws and other regulations and Notices issued by the IRS
We are not affiliated with any brand or entity on this form
Get, Create, Make and Sign montgomery county cafeteria plan
Edit your montgomery county cafeteria plan form online
Type text, complete fillable fields, insert images, highlight or blackout data for discretion, add comments, and more.
Add your legally-binding signature
Draw or type your signature, upload a signature image, or capture it with your digital camera.
Share your form instantly
Email, fax, or share your montgomery county cafeteria plan form via URL. You can also download, print, or export forms to your preferred cloud storage service.
How to edit montgomery county cafeteria plan online
To use the professional PDF editor, follow these steps below:
1
Log in to account. Click Start Free Trial and register a profile if you don't have one yet.
2
Upload a file. Select Add New on your Dashboard and upload a file from your device or import it from the cloud, online, or internal mail. Then click Edit.
3
Edit montgomery county cafeteria plan. Rearrange and rotate pages, add new and changed texts, add new objects, and use other useful tools. When you're done, click Done. You can use the Documents tab to merge, split, lock, or unlock your files.
4
Save your file. Choose it from the list of records. Then, shift the pointer to the right toolbar and select one of the several exporting methods: save it in multiple formats, download it as a PDF, email it, or save it to the cloud.
The use of pdfFiller makes dealing with documents straightforward.
Uncompromising security for your PDF editing and eSignature needs
Your private information is safe with pdfFiller. We employ end-to-end encryption, secure cloud storage, and advanced access control to protect your documents and maintain regulatory compliance.
How to fill out montgomery county cafeteria plan
How to fill out montgomery county cafeteria plan
01
Obtain the montgomery county cafeteria plan enrollment form from your HR department.
02
Review the different cafeteria plan options available and decide which plans you want to enroll in.
03
Fill out the enrollment form with your personal information, including your name, address, and social security number.
04
Indicate which cafeteria plan options you want to enroll in and the amount of money you want to allocate to each plan.
05
Submit the completed enrollment form to your HR department within the specified deadline.
06
Review your paycheck to ensure that the cafeteria plan deductions are being taken out correctly.
Who needs montgomery county cafeteria plan?
01
Employees of companies located in Montgomery County.
02
Individuals who want to take advantage of tax savings by using pre-tax dollars to pay for eligible expenses such as healthcare or dependent care.
03
Individuals who want to customize their benefits package to meet their specific needs.
Fill
form
: Try Risk Free
For pdfFiller’s FAQs
Below is a list of the most common customer questions. If you can’t find an answer to your question, please don’t hesitate to reach out to us.
How do I make edits in montgomery county cafeteria plan without leaving Chrome?
Adding the pdfFiller Google Chrome Extension to your web browser will allow you to start editing montgomery county cafeteria plan and other documents right away when you search for them on a Google page. People who use Chrome can use the service to make changes to their files while they are on the Chrome browser. pdfFiller lets you make fillable documents and make changes to existing PDFs from any internet-connected device.
How can I fill out montgomery county cafeteria plan on an iOS device?
In order to fill out documents on your iOS device, install the pdfFiller app. Create an account or log in to an existing one if you have a subscription to the service. Once the registration process is complete, upload your montgomery county cafeteria plan. You now can take advantage of pdfFiller's advanced functionalities: adding fillable fields and eSigning documents, and accessing them from any device, wherever you are.
How do I edit montgomery county cafeteria plan on an Android device?
You can make any changes to PDF files, such as montgomery county cafeteria plan, with the help of the pdfFiller mobile app for Android. Edit, sign, and send documents right from your mobile device. Install the app and streamline your document management wherever you are.
What is montgomery county cafeteria plan?
The Montgomery County cafeteria plan is a benefit program that allows employees to choose from a variety of pre-tax benefits, such as health insurance, retirement savings, and flexible spending accounts.
Who is required to file montgomery county cafeteria plan?
Employers in Montgomery County are required to offer the cafeteria plan to their employees.
How to fill out montgomery county cafeteria plan?
Employees can fill out the cafeteria plan during open enrollment periods or when they experience a qualifying life event.
What is the purpose of montgomery county cafeteria plan?
The purpose of the Montgomery County cafeteria plan is to provide employees with tax advantages and flexibility in choosing benefits that meet their needs.
What information must be reported on montgomery county cafeteria plan?
Employees must report their benefit selections, contribution amounts, and any changes throughout the year.
Fill out your montgomery county cafeteria plan online with pdfFiller!
pdfFiller is an end-to-end solution for managing, creating, and editing documents and forms in the cloud. Save time and hassle by preparing your tax forms online.
Montgomery County Cafeteria Plan is not the form you're looking for?Search for another form here.
Relevant keywords
Related Forms
If you believe that this page should be taken down, please follow our DMCA take down process
here
.
This form may include fields for payment information. Data entered in these fields is not covered by PCI DSS compliance.