Get the free Louisiana School and Campus Safety Planning Guide
Show details
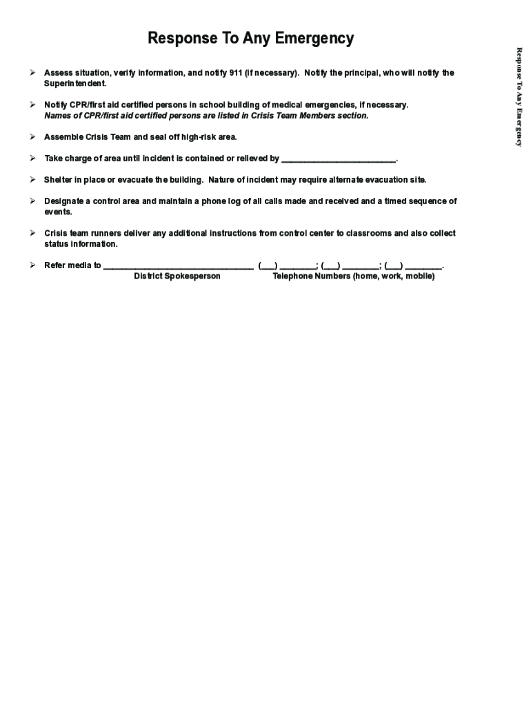
Emergency Procedures Guide for Louisiana Schools 20072008How to Use This Guide A copy of this guide should be placed in every classroom, gym, cafeteria, OFCE and other noticeable place. This guide
We are not affiliated with any brand or entity on this form
Get, Create, Make and Sign louisiana school and campus
Edit your louisiana school and campus form online
Type text, complete fillable fields, insert images, highlight or blackout data for discretion, add comments, and more.
Add your legally-binding signature
Draw or type your signature, upload a signature image, or capture it with your digital camera.
Share your form instantly
Email, fax, or share your louisiana school and campus form via URL. You can also download, print, or export forms to your preferred cloud storage service.
Editing louisiana school and campus online
Follow the guidelines below to benefit from the PDF editor's expertise:
1
Check your account. If you don't have a profile yet, click Start Free Trial and sign up for one.
2
Prepare a file. Use the Add New button to start a new project. Then, using your device, upload your file to the system by importing it from internal mail, the cloud, or adding its URL.
3
Edit louisiana school and campus. Rearrange and rotate pages, add new and changed texts, add new objects, and use other useful tools. When you're done, click Done. You can use the Documents tab to merge, split, lock, or unlock your files.
4
Get your file. Select your file from the documents list and pick your export method. You may save it as a PDF, email it, or upload it to the cloud.
It's easier to work with documents with pdfFiller than you could have believed. You can sign up for an account to see for yourself.
Uncompromising security for your PDF editing and eSignature needs
Your private information is safe with pdfFiller. We employ end-to-end encryption, secure cloud storage, and advanced access control to protect your documents and maintain regulatory compliance.
How to fill out louisiana school and campus
How to fill out louisiana school and campus
01
Obtain the Louisiana school and campus application form from the appropriate educational department.
02
Fill out the application form completely and accurately, providing all requested information.
03
Attach any necessary supporting documents, such as proof of residency or transcripts.
04
Review the completed application form to ensure all sections are filled out correctly.
05
Submit the application form and supporting documents to the designated office or department by the specified deadline.
Who needs louisiana school and campus?
01
Students looking to enroll in a school or campus in Louisiana.
02
Parents or guardians applying on behalf of their children.
03
Educational institutions or organizations seeking to establish a new campus in Louisiana.
Fill
form
: Try Risk Free
For pdfFiller’s FAQs
Below is a list of the most common customer questions. If you can’t find an answer to your question, please don’t hesitate to reach out to us.
How can I manage my louisiana school and campus directly from Gmail?
pdfFiller’s add-on for Gmail enables you to create, edit, fill out and eSign your louisiana school and campus and any other documents you receive right in your inbox. Visit Google Workspace Marketplace and install pdfFiller for Gmail. Get rid of time-consuming steps and manage your documents and eSignatures effortlessly.
How can I edit louisiana school and campus from Google Drive?
By integrating pdfFiller with Google Docs, you can streamline your document workflows and produce fillable forms that can be stored directly in Google Drive. Using the connection, you will be able to create, change, and eSign documents, including louisiana school and campus, all without having to leave Google Drive. Add pdfFiller's features to Google Drive and you'll be able to handle your documents more effectively from any device with an internet connection.
How do I edit louisiana school and campus on an iOS device?
You can. Using the pdfFiller iOS app, you can edit, distribute, and sign louisiana school and campus. Install it in seconds at the Apple Store. The app is free, but you must register to buy a subscription or start a free trial.
What is louisiana school and campus?
Louisiana school and campus refers to a report filed by educational institutions in Louisiana detailing information about their school and campus.
Who is required to file louisiana school and campus?
All educational institutions in Louisiana are required to file the louisiana school and campus report.
How to fill out louisiana school and campus?
The louisiana school and campus report can be filled out online on the Louisiana Department of Education website.
What is the purpose of louisiana school and campus?
The purpose of the louisiana school and campus report is to provide important information about educational institutions in the state.
What information must be reported on louisiana school and campus?
Information such as student enrollment numbers, staff demographics, and campus facilities must be reported on the louisiana school and campus.
Fill out your louisiana school and campus online with pdfFiller!
pdfFiller is an end-to-end solution for managing, creating, and editing documents and forms in the cloud. Save time and hassle by preparing your tax forms online.
Louisiana School And Campus is not the form you're looking for?Search for another form here.
Relevant keywords
Related Forms
If you believe that this page should be taken down, please follow our DMCA take down process
here
.
This form may include fields for payment information. Data entered in these fields is not covered by PCI DSS compliance.