Get the free Form of Gunnar Convertible Promissory Note, issued January
Show details
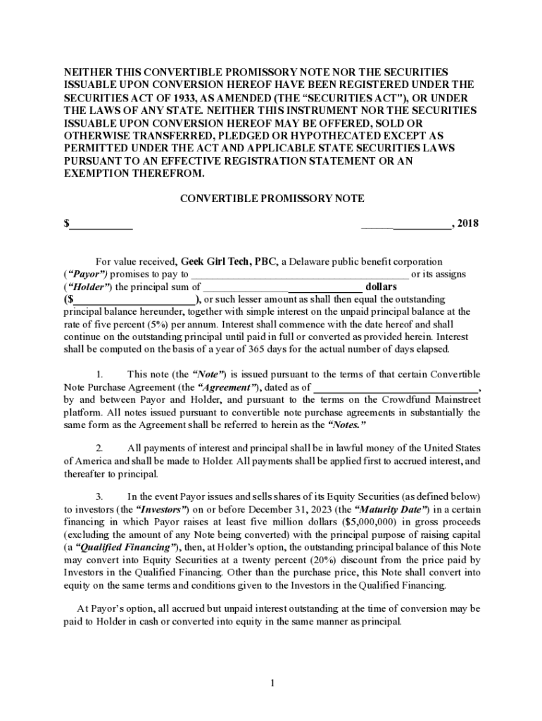
NEITHER THIS CONVERTIBLE PROMISSORY NOTE NOR THE SECURITIES ISSUABLE UPON CONVERSION HEREOF HAVE BEEN REGISTERED UNDER THE SECURITIES ACT OF 1933, AS AMENDED (THE SECURITIES ACT), OR UNDER THE LAWS
We are not affiliated with any brand or entity on this form
Get, Create, Make and Sign form of gunnar convertible
Edit your form of gunnar convertible form online
Type text, complete fillable fields, insert images, highlight or blackout data for discretion, add comments, and more.
Add your legally-binding signature
Draw or type your signature, upload a signature image, or capture it with your digital camera.
Share your form instantly
Email, fax, or share your form of gunnar convertible form via URL. You can also download, print, or export forms to your preferred cloud storage service.
Editing form of gunnar convertible online
To use our professional PDF editor, follow these steps:
1
Register the account. Begin by clicking Start Free Trial and create a profile if you are a new user.
2
Prepare a file. Use the Add New button. Then upload your file to the system from your device, importing it from internal mail, the cloud, or by adding its URL.
3
Edit form of gunnar convertible. Rearrange and rotate pages, add and edit text, and use additional tools. To save changes and return to your Dashboard, click Done. The Documents tab allows you to merge, divide, lock, or unlock files.
4
Save your file. Select it from your list of records. Then, move your cursor to the right toolbar and choose one of the exporting options. You can save it in multiple formats, download it as a PDF, send it by email, or store it in the cloud, among other things.
With pdfFiller, it's always easy to work with documents. Try it out!
Uncompromising security for your PDF editing and eSignature needs
Your private information is safe with pdfFiller. We employ end-to-end encryption, secure cloud storage, and advanced access control to protect your documents and maintain regulatory compliance.
How to fill out form of gunnar convertible
How to fill out form of gunnar convertible
01
Gather all necessary information and documents required to fill out the form.
02
Review the instructions provided with the form to ensure all sections are understood.
03
Fill out the form accurately and completely, paying close attention to details.
04
Double check the form for any errors or missing information before submitting.
05
Submit the form according to the instructions provided.
Who needs form of gunnar convertible?
01
Individuals who are purchasing or seeking to make changes to a convertible manufactured by Gunnar may need to fill out the form of Gunnar convertible.
Fill
form
: Try Risk Free
For pdfFiller’s FAQs
Below is a list of the most common customer questions. If you can’t find an answer to your question, please don’t hesitate to reach out to us.
How can I send form of gunnar convertible to be eSigned by others?
When you're ready to share your form of gunnar convertible, you can send it to other people and get the eSigned document back just as quickly. Share your PDF by email, fax, text message, or USPS mail. You can also notarize your PDF on the web. You don't have to leave your account to do this.
Can I create an electronic signature for signing my form of gunnar convertible in Gmail?
With pdfFiller's add-on, you may upload, type, or draw a signature in Gmail. You can eSign your form of gunnar convertible and other papers directly in your mailbox with pdfFiller. To preserve signed papers and your personal signatures, create an account.
How do I fill out form of gunnar convertible using my mobile device?
You can quickly make and fill out legal forms with the help of the pdfFiller app on your phone. Complete and sign form of gunnar convertible and other documents on your mobile device using the application. If you want to learn more about how the PDF editor works, go to pdfFiller.com.
What is form of gunnar convertible?
The form of gunnar convertible is a document used to convert a company from one legal entity to another.
Who is required to file form of gunnar convertible?
The company owners or authorized representatives are required to file the form of gunnar convertible.
How to fill out form of gunnar convertible?
The form of gunnar convertible can be filled out online or submitted to the appropriate government agency with all the necessary information and supporting documents.
What is the purpose of form of gunnar convertible?
The purpose of the form of gunnar convertible is to legally change the status of a company from one form to another, such as from a corporation to a limited liability company.
What information must be reported on form of gunnar convertible?
The form of gunnar convertible must include details about the current company structure, the new structure that is desired, and the reasons for the conversion.
Fill out your form of gunnar convertible online with pdfFiller!
pdfFiller is an end-to-end solution for managing, creating, and editing documents and forms in the cloud. Save time and hassle by preparing your tax forms online.
Form Of Gunnar Convertible is not the form you're looking for?Search for another form here.
Relevant keywords
Related Forms
If you believe that this page should be taken down, please follow our DMCA take down process
here
.
This form may include fields for payment information. Data entered in these fields is not covered by PCI DSS compliance.