
Get the free Holly Harvey Memorial Scholarship
Show details
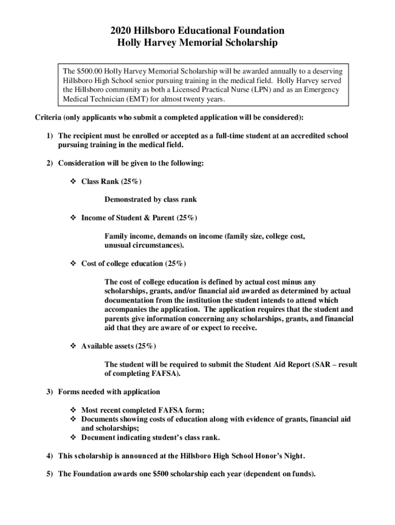
2020 Hillsboro Educational Foundation Holly Harvey Memorial Scholarship The $500.00 Holly Harvey Memorial Scholarship will be awarded annually to a deserving Hillsboro High School senior pursuing
We are not affiliated with any brand or entity on this form
Get, Create, Make and Sign holly harvey memorial scholarship

Edit your holly harvey memorial scholarship form online
Type text, complete fillable fields, insert images, highlight or blackout data for discretion, add comments, and more.

Add your legally-binding signature
Draw or type your signature, upload a signature image, or capture it with your digital camera.

Share your form instantly
Email, fax, or share your holly harvey memorial scholarship form via URL. You can also download, print, or export forms to your preferred cloud storage service.
How to edit holly harvey memorial scholarship online
Here are the steps you need to follow to get started with our professional PDF editor:
1
Log in to account. Click on Start Free Trial and sign up a profile if you don't have one.
2
Prepare a file. Use the Add New button to start a new project. Then, using your device, upload your file to the system by importing it from internal mail, the cloud, or adding its URL.
3
Edit holly harvey memorial scholarship. Rearrange and rotate pages, add new and changed texts, add new objects, and use other useful tools. When you're done, click Done. You can use the Documents tab to merge, split, lock, or unlock your files.
4
Save your file. Choose it from the list of records. Then, shift the pointer to the right toolbar and select one of the several exporting methods: save it in multiple formats, download it as a PDF, email it, or save it to the cloud.
With pdfFiller, it's always easy to work with documents. Check it out!
Uncompromising security for your PDF editing and eSignature needs
Your private information is safe with pdfFiller. We employ end-to-end encryption, secure cloud storage, and advanced access control to protect your documents and maintain regulatory compliance.
How to fill out holly harvey memorial scholarship

How to fill out holly harvey memorial scholarship
01
Visit the official website of Holly Harvey Memorial Scholarship.
02
Read the eligibility criteria carefully to ensure you qualify.
03
Fill out the online application form with accurate information.
04
Submit any required documents such as transcripts, letters of recommendation, and personal statements.
05
Review your application before submitting to make sure all information is correct.
06
Wait for the selection committee to review your application and announce the results.
Who needs holly harvey memorial scholarship?
01
Students who are pursuing higher education and are in need of financial assistance.
02
Individuals who demonstrate academic excellence, community involvement, and leadership qualities.
03
Those who have a connection to the memory of Holly Harvey or are inspired by her legacy.
Fill
form
: Try Risk Free
For pdfFiller’s FAQs
Below is a list of the most common customer questions. If you can’t find an answer to your question, please don’t hesitate to reach out to us.
How can I manage my holly harvey memorial scholarship directly from Gmail?
pdfFiller’s add-on for Gmail enables you to create, edit, fill out and eSign your holly harvey memorial scholarship and any other documents you receive right in your inbox. Visit Google Workspace Marketplace and install pdfFiller for Gmail. Get rid of time-consuming steps and manage your documents and eSignatures effortlessly.
How do I make edits in holly harvey memorial scholarship without leaving Chrome?
Download and install the pdfFiller Google Chrome Extension to your browser to edit, fill out, and eSign your holly harvey memorial scholarship, which you can open in the editor with a single click from a Google search page. Fillable documents may be executed from any internet-connected device without leaving Chrome.
How do I complete holly harvey memorial scholarship on an iOS device?
Install the pdfFiller app on your iOS device to fill out papers. If you have a subscription to the service, create an account or log in to an existing one. After completing the registration process, upload your holly harvey memorial scholarship. You may now use pdfFiller's advanced features, such as adding fillable fields and eSigning documents, and accessing them from any device, wherever you are.
What is holly harvey memorial scholarship?
The Holly Harvey Memorial Scholarship is a scholarship program established in memory of Holly Harvey, to provide financial assistance to deserving students.
Who is required to file holly harvey memorial scholarship?
Students who meet the eligibility criteria are required to apply for the Holly Harvey Memorial Scholarship.
How to fill out holly harvey memorial scholarship?
To fill out the Holly Harvey Memorial Scholarship, students need to complete the application form and provide all required documentation.
What is the purpose of holly harvey memorial scholarship?
The purpose of the Holly Harvey Memorial Scholarship is to support students in their academic pursuits by providing financial aid.
What information must be reported on holly harvey memorial scholarship?
Applicants must provide their personal information, academic achievements, financial need, and any other relevant details on the Holly Harvey Memorial Scholarship application.
Fill out your holly harvey memorial scholarship online with pdfFiller!
pdfFiller is an end-to-end solution for managing, creating, and editing documents and forms in the cloud. Save time and hassle by preparing your tax forms online.

Holly Harvey Memorial Scholarship is not the form you're looking for?Search for another form here.
Relevant keywords
Related Forms
If you believe that this page should be taken down, please follow our DMCA take down process
here
.
This form may include fields for payment information. Data entered in these fields is not covered by PCI DSS compliance.