Get the free ArmourShield 837: XP High Gloss - Rodda Paint
Show details
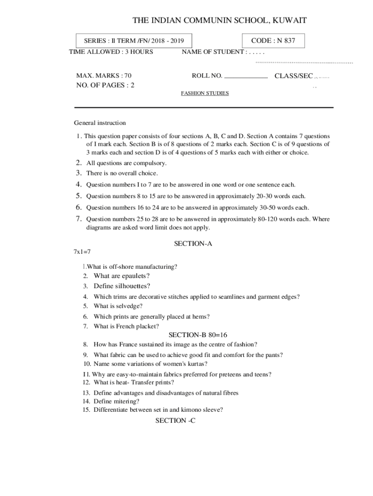
THE INDIAN COMMUNION SCHOOL, KUWAIT CODE : N 837SERIES : IL TERM /FN/ 2018 2019 TIME ALLOWED : 3 Surnames OF STUDENT :. . . . .ROLL NO.MAX. MARKS : 70CLASS/SE CNO. OF PAGES : 2 FASHION STUDIESGeneral
We are not affiliated with any brand or entity on this form
Get, Create, Make and Sign armourshield 837 xp high
Edit your armourshield 837 xp high form online
Type text, complete fillable fields, insert images, highlight or blackout data for discretion, add comments, and more.
Add your legally-binding signature
Draw or type your signature, upload a signature image, or capture it with your digital camera.
Share your form instantly
Email, fax, or share your armourshield 837 xp high form via URL. You can also download, print, or export forms to your preferred cloud storage service.
How to edit armourshield 837 xp high online
Follow the guidelines below to take advantage of the professional PDF editor:
1
Create an account. Begin by choosing Start Free Trial and, if you are a new user, establish a profile.
2
Upload a file. Select Add New on your Dashboard and upload a file from your device or import it from the cloud, online, or internal mail. Then click Edit.
3
Edit armourshield 837 xp high. Rearrange and rotate pages, insert new and alter existing texts, add new objects, and take advantage of other helpful tools. Click Done to apply changes and return to your Dashboard. Go to the Documents tab to access merging, splitting, locking, or unlocking functions.
4
Save your file. Select it in the list of your records. Then, move the cursor to the right toolbar and choose one of the available exporting methods: save it in multiple formats, download it as a PDF, send it by email, or store it in the cloud.
pdfFiller makes working with documents easier than you could ever imagine. Register for an account and see for yourself!
Uncompromising security for your PDF editing and eSignature needs
Your private information is safe with pdfFiller. We employ end-to-end encryption, secure cloud storage, and advanced access control to protect your documents and maintain regulatory compliance.
How to fill out armourshield 837 xp high
How to fill out armourshield 837 xp high
01
Start by carefully reading the instructions provided with the armourshield 837 xp high.
02
Gather all necessary information and documentation that will be needed to fill out the form.
03
Fill in the basic details such as name, address, and contact information.
04
Provide any relevant medical history or information related to your specific condition or needs.
05
Double check all information before submitting the form to ensure accuracy and completeness.
Who needs armourshield 837 xp high?
01
Individuals who are looking for a high-quality armourshield product that provides protection and durability may need armourshield 837 xp high.
Fill
form
: Try Risk Free
For pdfFiller’s FAQs
Below is a list of the most common customer questions. If you can’t find an answer to your question, please don’t hesitate to reach out to us.
How can I get armourshield 837 xp high?
It’s easy with pdfFiller, a comprehensive online solution for professional document management. Access our extensive library of online forms (over 25M fillable forms are available) and locate the armourshield 837 xp high in a matter of seconds. Open it right away and start customizing it using advanced editing features.
Can I sign the armourshield 837 xp high electronically in Chrome?
You can. With pdfFiller, you get a strong e-signature solution built right into your Chrome browser. Using our addon, you may produce a legally enforceable eSignature by typing, sketching, or photographing it. Choose your preferred method and eSign in minutes.
How do I edit armourshield 837 xp high straight from my smartphone?
The best way to make changes to documents on a mobile device is to use pdfFiller's apps for iOS and Android. You may get them from the Apple Store and Google Play. Learn more about the apps here. To start editing armourshield 837 xp high, you need to install and log in to the app.
What is armourshield 837 xp high?
Armourshield 837 XP High is a specific form used in the healthcare industry for electronic claims submission, primarily designed for high-volume healthcare providers.
Who is required to file armourshield 837 xp high?
Healthcare providers, including hospitals and clinics, who submit a high volume of electronic claims to insurance companies are required to file Armourshield 837 XP High.
How to fill out armourshield 837 xp high?
To fill out Armourshield 837 XP High, providers must enter patient information, service details, and billing codes according to the specified format outlined by the relevant payer.
What is the purpose of armourshield 837 xp high?
The purpose of Armourshield 837 XP High is to facilitate the electronic submission of healthcare claims, streamline the billing process, and reduce errors associated with paper claims.
What information must be reported on armourshield 837 xp high?
Information that must be reported includes patient demographics, provider details, diagnosis and procedure codes, and any relevant payment information.
Fill out your armourshield 837 xp high online with pdfFiller!
pdfFiller is an end-to-end solution for managing, creating, and editing documents and forms in the cloud. Save time and hassle by preparing your tax forms online.
Armourshield 837 Xp High is not the form you're looking for?Search for another form here.
Relevant keywords
Related Forms
If you believe that this page should be taken down, please follow our DMCA take down process
here
.
This form may include fields for payment information. Data entered in these fields is not covered by PCI DSS compliance.