Get the free Microsoft 365 apps say farewell to Internet Explorer 11 and ...
Show details
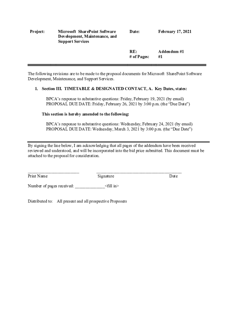
Project:Microsoft SharePoint Software Development, Maintenance, and Support ServicesDate:February 17, 2021RE: # of Pages:Addendum #1 #1The following revisions are to be made to the proposal documents
We are not affiliated with any brand or entity on this form
Get, Create, Make and Sign microsoft 365 apps say
Edit your microsoft 365 apps say form online
Type text, complete fillable fields, insert images, highlight or blackout data for discretion, add comments, and more.
Add your legally-binding signature
Draw or type your signature, upload a signature image, or capture it with your digital camera.
Share your form instantly
Email, fax, or share your microsoft 365 apps say form via URL. You can also download, print, or export forms to your preferred cloud storage service.
How to edit microsoft 365 apps say online
Follow the guidelines below to use a professional PDF editor:
1
Log in to your account. Click Start Free Trial and register a profile if you don't have one yet.
2
Prepare a file. Use the Add New button. Then upload your file to the system from your device, importing it from internal mail, the cloud, or by adding its URL.
3
Edit microsoft 365 apps say. Add and change text, add new objects, move pages, add watermarks and page numbers, and more. Then click Done when you're done editing and go to the Documents tab to merge or split the file. If you want to lock or unlock the file, click the lock or unlock button.
4
Save your file. Select it in the list of your records. Then, move the cursor to the right toolbar and choose one of the available exporting methods: save it in multiple formats, download it as a PDF, send it by email, or store it in the cloud.
With pdfFiller, it's always easy to work with documents.
Uncompromising security for your PDF editing and eSignature needs
Your private information is safe with pdfFiller. We employ end-to-end encryption, secure cloud storage, and advanced access control to protect your documents and maintain regulatory compliance.
How to fill out microsoft 365 apps say
How to fill out microsoft 365 apps say
01
Open the Microsoft 365 app on your device.
02
Sign in with your Microsoft account credentials.
03
Navigate to the specific app you want to fill out.
04
Locate the form or document that needs to be filled out.
05
Click on the fields in the form and enter the required information.
06
Review the filled out form for accuracy and completeness.
07
Save or submit the completed form as needed.
Who needs microsoft 365 apps say?
01
Individuals who manage documents and collaborate on projects
02
Business professionals who need access to productivity tools
03
Students who require efficient tools for schoolwork
04
Teams and organizations looking for cloud-based solutions for communication and collaboration
Fill
form
: Try Risk Free
For pdfFiller’s FAQs
Below is a list of the most common customer questions. If you can’t find an answer to your question, please don’t hesitate to reach out to us.
How can I edit microsoft 365 apps say from Google Drive?
By combining pdfFiller with Google Docs, you can generate fillable forms directly in Google Drive. No need to leave Google Drive to make edits or sign documents, including microsoft 365 apps say. Use pdfFiller's features in Google Drive to handle documents on any internet-connected device.
How do I make edits in microsoft 365 apps say without leaving Chrome?
Download and install the pdfFiller Google Chrome Extension to your browser to edit, fill out, and eSign your microsoft 365 apps say, which you can open in the editor with a single click from a Google search page. Fillable documents may be executed from any internet-connected device without leaving Chrome.
Can I sign the microsoft 365 apps say electronically in Chrome?
You certainly can. You get not just a feature-rich PDF editor and fillable form builder with pdfFiller, but also a robust e-signature solution that you can add right to your Chrome browser. You may use our addon to produce a legally enforceable eSignature by typing, sketching, or photographing your signature with your webcam. Choose your preferred method and eSign your microsoft 365 apps say in minutes.
What is microsoft 365 apps say?
Microsoft 365 apps include a suite of productivity tools such as Word, Excel, PowerPoint, and Outlook.
Who is required to file microsoft 365 apps say?
Individuals or organizations who use Microsoft 365 apps for business or personal use may be required to file.
How to fill out microsoft 365 apps say?
To fill out Microsoft 365 apps say, you may need to provide information regarding your usage, subscription details, and any additional services purchased.
What is the purpose of microsoft 365 apps say?
The purpose of Microsoft 365 apps say is to accurately report the usage and subscription details of Microsoft 365 apps.
What information must be reported on microsoft 365 apps say?
Information such as number of users, subscription details, additional services purchased, and usage data may need to be reported on Microsoft 365 apps say.
Fill out your microsoft 365 apps say online with pdfFiller!
pdfFiller is an end-to-end solution for managing, creating, and editing documents and forms in the cloud. Save time and hassle by preparing your tax forms online.
Microsoft 365 Apps Say is not the form you're looking for?Search for another form here.
Relevant keywords
Related Forms
If you believe that this page should be taken down, please follow our DMCA take down process
here
.
This form may include fields for payment information. Data entered in these fields is not covered by PCI DSS compliance.