Get the free Nebraska Subcontractor Agreement Template - eForms
Show details
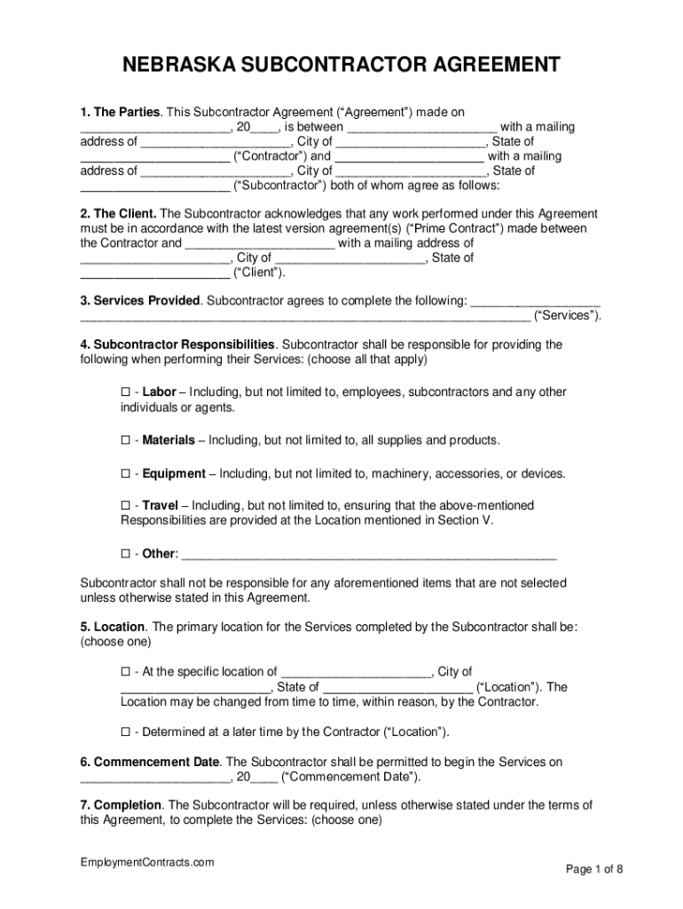
NEBRASKA SUBCONTRACTOR AGREEMENT 1. The Parties. This Subcontractor Agreement (Agreement) made on ___, 20___, is between ___ with a mailing address of ___, City of ___, State of ___ (Contractor) and
We are not affiliated with any brand or entity on this form
Get, Create, Make and Sign nebraska subcontractor agreement template
Edit your nebraska subcontractor agreement template form online
Type text, complete fillable fields, insert images, highlight or blackout data for discretion, add comments, and more.
Add your legally-binding signature
Draw or type your signature, upload a signature image, or capture it with your digital camera.
Share your form instantly
Email, fax, or share your nebraska subcontractor agreement template form via URL. You can also download, print, or export forms to your preferred cloud storage service.
How to edit nebraska subcontractor agreement template online
Follow the steps down below to take advantage of the professional PDF editor:
1
Log in. Click Start Free Trial and create a profile if necessary.
2
Simply add a document. Select Add New from your Dashboard and import a file into the system by uploading it from your device or importing it via the cloud, online, or internal mail. Then click Begin editing.
3
Edit nebraska subcontractor agreement template. Rearrange and rotate pages, add and edit text, and use additional tools. To save changes and return to your Dashboard, click Done. The Documents tab allows you to merge, divide, lock, or unlock files.
4
Get your file. Select your file from the documents list and pick your export method. You may save it as a PDF, email it, or upload it to the cloud.
pdfFiller makes working with documents easier than you could ever imagine. Try it for yourself by creating an account!
Uncompromising security for your PDF editing and eSignature needs
Your private information is safe with pdfFiller. We employ end-to-end encryption, secure cloud storage, and advanced access control to protect your documents and maintain regulatory compliance.
How to fill out nebraska subcontractor agreement template
How to fill out nebraska subcontractor agreement template
01
Download the Nebraska subcontractor agreement template from a reputable source.
02
Read through the entire agreement to understand all the terms and conditions.
03
Fill in the details of the subcontractor and the primary contractor accurately.
04
Specify the scope of work to be performed by the subcontractor.
05
Include payment terms such as hourly rates or project-based fees.
06
Indicate the duration of the agreement and any termination clauses.
07
Have both parties review and sign the agreement to make it legally binding.
Who needs nebraska subcontractor agreement template?
01
Any individual or business in Nebraska looking to hire a subcontractor to perform specific tasks or projects.
Fill
form
: Try Risk Free
For pdfFiller’s FAQs
Below is a list of the most common customer questions. If you can’t find an answer to your question, please don’t hesitate to reach out to us.
How can I send nebraska subcontractor agreement template for eSignature?
Once your nebraska subcontractor agreement template is complete, you can securely share it with recipients and gather eSignatures with pdfFiller in just a few clicks. You may transmit a PDF by email, text message, fax, USPS mail, or online notarization directly from your account. Make an account right now and give it a go.
How do I make changes in nebraska subcontractor agreement template?
pdfFiller allows you to edit not only the content of your files, but also the quantity and sequence of the pages. Upload your nebraska subcontractor agreement template to the editor and make adjustments in a matter of seconds. Text in PDFs may be blacked out, typed in, and erased using the editor. You may also include photos, sticky notes, and text boxes, among other things.
Can I create an eSignature for the nebraska subcontractor agreement template in Gmail?
When you use pdfFiller's add-on for Gmail, you can add or type a signature. You can also draw a signature. pdfFiller lets you eSign your nebraska subcontractor agreement template and other documents right from your email. In order to keep signed documents and your own signatures, you need to sign up for an account.
What is nebraska subcontractor agreement template?
Nebraska subcontractor agreement template is a legal document outlining the terms and conditions between a general contractor and a subcontractor for a construction project in Nebraska.
Who is required to file nebraska subcontractor agreement template?
Both the general contractor and subcontractor are required to file the nebraska subcontractor agreement template before starting work on a construction project in Nebraska.
How to fill out nebraska subcontractor agreement template?
The nebraska subcontractor agreement template should be filled out with the relevant information such as the names of the parties involved, project details, scope of work, payment terms, and signatures of both parties.
What is the purpose of nebraska subcontractor agreement template?
The purpose of nebraska subcontractor agreement template is to clearly define the roles, responsibilities, and expectations of both the general contractor and subcontractor to avoid any misunderstandings or disputes during the construction project.
What information must be reported on nebraska subcontractor agreement template?
The nebraska subcontractor agreement template should include details such as project specifications, payment schedule, insurance requirements, dispute resolution process, and termination clause.
Fill out your nebraska subcontractor agreement template online with pdfFiller!
pdfFiller is an end-to-end solution for managing, creating, and editing documents and forms in the cloud. Save time and hassle by preparing your tax forms online.
Nebraska Subcontractor Agreement Template is not the form you're looking for?Search for another form here.
Relevant keywords
Related Forms
If you believe that this page should be taken down, please follow our DMCA take down process
here
.
This form may include fields for payment information. Data entered in these fields is not covered by PCI DSS compliance.