
Get the free Examples & Explanations For Property PDF - VDOC.PUB
Show details
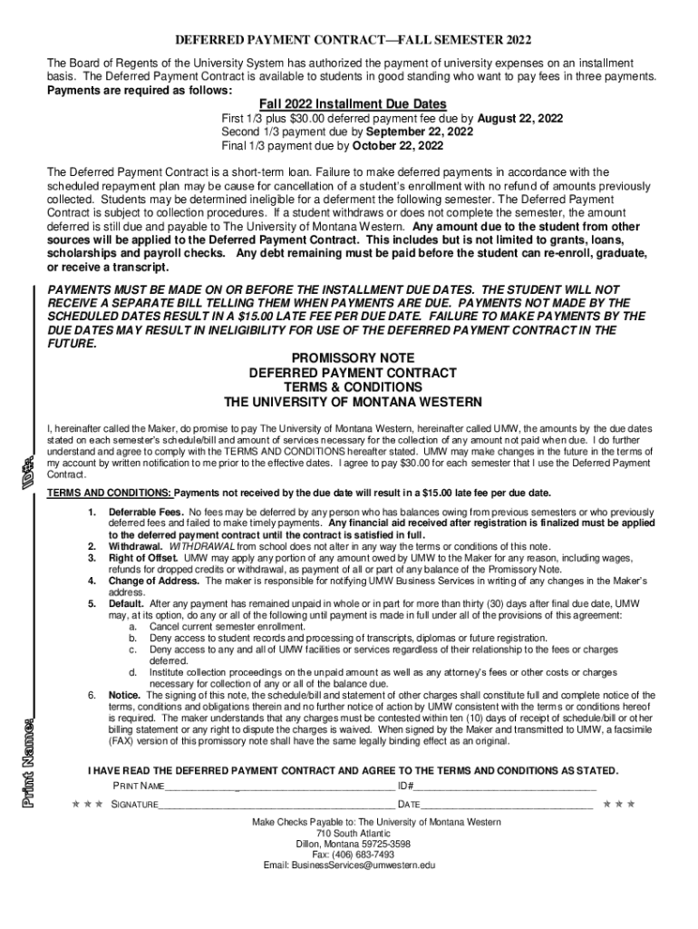
DEFERRED PAYMENT CONTRACTUAL SEMESTER 2022 The Board of Regents of the University System has authorized the payment of university expenses on an installment basis. The Deferred Payment Contract is
We are not affiliated with any brand or entity on this form
Get, Create, Make and Sign examples ampamp explanations for

Edit your examples ampamp explanations for form online
Type text, complete fillable fields, insert images, highlight or blackout data for discretion, add comments, and more.

Add your legally-binding signature
Draw or type your signature, upload a signature image, or capture it with your digital camera.

Share your form instantly
Email, fax, or share your examples ampamp explanations for form via URL. You can also download, print, or export forms to your preferred cloud storage service.
Editing examples ampamp explanations for online
To use the services of a skilled PDF editor, follow these steps:
1
Set up an account. If you are a new user, click Start Free Trial and establish a profile.
2
Upload a file. Select Add New on your Dashboard and upload a file from your device or import it from the cloud, online, or internal mail. Then click Edit.
3
Edit examples ampamp explanations for. Rearrange and rotate pages, add and edit text, and use additional tools. To save changes and return to your Dashboard, click Done. The Documents tab allows you to merge, divide, lock, or unlock files.
4
Save your file. Choose it from the list of records. Then, shift the pointer to the right toolbar and select one of the several exporting methods: save it in multiple formats, download it as a PDF, email it, or save it to the cloud.
With pdfFiller, it's always easy to work with documents.
Uncompromising security for your PDF editing and eSignature needs
Your private information is safe with pdfFiller. We employ end-to-end encryption, secure cloud storage, and advanced access control to protect your documents and maintain regulatory compliance.
How to fill out examples ampamp explanations for

How to fill out examples ampamp explanations for
01
Start by understanding the purpose of the examples ampamp explanations
02
Gather relevant information or data that needs to be included in the examples
03
Organize the examples in a clear and easy-to-understand format
04
Provide explanations or additional details to support each example
05
Review and revise the examples ampamp explanations for accuracy and clarity
Who needs examples ampamp explanations for?
01
Students who are learning a new concept and need visual aids to understand
02
Professionals who are presenting information and want to provide real-life examples
03
Teachers who are creating lesson plans and need to illustrate key points with examples ampamp explanations
Fill
form
: Try Risk Free
For pdfFiller’s FAQs
Below is a list of the most common customer questions. If you can’t find an answer to your question, please don’t hesitate to reach out to us.
Can I create an electronic signature for the examples ampamp explanations for in Chrome?
Yes. With pdfFiller for Chrome, you can eSign documents and utilize the PDF editor all in one spot. Create a legally enforceable eSignature by sketching, typing, or uploading a handwritten signature image. You may eSign your examples ampamp explanations for in seconds.
How do I fill out the examples ampamp explanations for form on my smartphone?
You can easily create and fill out legal forms with the help of the pdfFiller mobile app. Complete and sign examples ampamp explanations for and other documents on your mobile device using the application. Visit pdfFiller’s webpage to learn more about the functionalities of the PDF editor.
How do I complete examples ampamp explanations for on an iOS device?
Install the pdfFiller app on your iOS device to fill out papers. If you have a subscription to the service, create an account or log in to an existing one. After completing the registration process, upload your examples ampamp explanations for. You may now use pdfFiller's advanced features, such as adding fillable fields and eSigning documents, and accessing them from any device, wherever you are.
What is examples ampamp explanations for?
Examples and explanations are used to provide further clarification and detailed information for a particular topic or concept.
Who is required to file examples ampamp explanations for?
Individuals or organizations who need to provide additional information or context on a subject are required to file examples and explanations.
How to fill out examples ampamp explanations for?
Examples and explanations can be filled out by providing clear and detailed descriptions, using relevant examples, and citing sources if necessary.
What is the purpose of examples ampamp explanations for?
The purpose of examples and explanations is to enhance understanding, provide context, and clarify complex topics or concepts.
What information must be reported on examples ampamp explanations for?
Examples and explanations must include relevant details, examples, sources, and any other information necessary to provide a thorough explanation.
Fill out your examples ampamp explanations for online with pdfFiller!
pdfFiller is an end-to-end solution for managing, creating, and editing documents and forms in the cloud. Save time and hassle by preparing your tax forms online.

Examples Ampamp Explanations For is not the form you're looking for?Search for another form here.
Relevant keywords
Related Forms
If you believe that this page should be taken down, please follow our DMCA take down process
here
.
This form may include fields for payment information. Data entered in these fields is not covered by PCI DSS compliance.