Get the free Application for intended graduation can be submitted starting February 2021, and mus...
Show details
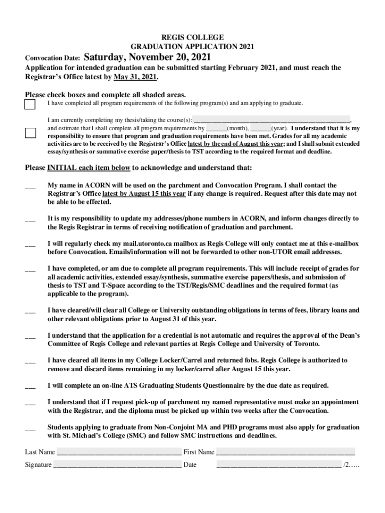
AEGIS COLLEGE GRADUATION APPLICATION 2021 Convocation Date:Saturday, November 20, 2021Application for intended graduation can be submitted starting February 2021, and must reach the Registrars Office
We are not affiliated with any brand or entity on this form
Get, Create, Make and Sign application for intended graduation
Edit your application for intended graduation form online
Type text, complete fillable fields, insert images, highlight or blackout data for discretion, add comments, and more.
Add your legally-binding signature
Draw or type your signature, upload a signature image, or capture it with your digital camera.
Share your form instantly
Email, fax, or share your application for intended graduation form via URL. You can also download, print, or export forms to your preferred cloud storage service.
Editing application for intended graduation online
To use our professional PDF editor, follow these steps:
1
Log in. Click Start Free Trial and create a profile if necessary.
2
Prepare a file. Use the Add New button to start a new project. Then, using your device, upload your file to the system by importing it from internal mail, the cloud, or adding its URL.
3
Edit application for intended graduation. Replace text, adding objects, rearranging pages, and more. Then select the Documents tab to combine, divide, lock or unlock the file.
4
Save your file. Select it from your records list. Then, click the right toolbar and select one of the various exporting options: save in numerous formats, download as PDF, email, or cloud.
With pdfFiller, it's always easy to deal with documents. Try it right now
Uncompromising security for your PDF editing and eSignature needs
Your private information is safe with pdfFiller. We employ end-to-end encryption, secure cloud storage, and advanced access control to protect your documents and maintain regulatory compliance.
How to fill out application for intended graduation
How to fill out application for intended graduation
01
Gather all necessary documents such as academic transcripts, letters of recommendation, and personal statement.
02
Research the guidelines and requirements for the intended graduation application.
03
Complete all required forms accurately and truthfully.
04
Submit the application before the deadline.
05
Follow up with the institution to ensure the application was received and processed.
Who needs application for intended graduation?
01
Students who are nearing the completion of their academic program and are ready to graduate.
02
Students who wish to pursue further studies or enter the workforce after graduation.
Fill
form
: Try Risk Free
For pdfFiller’s FAQs
Below is a list of the most common customer questions. If you can’t find an answer to your question, please don’t hesitate to reach out to us.
How do I make edits in application for intended graduation without leaving Chrome?
Add pdfFiller Google Chrome Extension to your web browser to start editing application for intended graduation and other documents directly from a Google search page. The service allows you to make changes in your documents when viewing them in Chrome. Create fillable documents and edit existing PDFs from any internet-connected device with pdfFiller.
Can I create an eSignature for the application for intended graduation in Gmail?
Create your eSignature using pdfFiller and then eSign your application for intended graduation immediately from your email with pdfFiller's Gmail add-on. To keep your signatures and signed papers, you must create an account.
How do I edit application for intended graduation on an Android device?
The pdfFiller app for Android allows you to edit PDF files like application for intended graduation. Mobile document editing, signing, and sending. Install the app to ease document management anywhere.
What is application for intended graduation?
The application for intended graduation is a form that students must complete to inform the university of their plans to graduate.
Who is required to file application for intended graduation?
All students who are nearing the completion of their degree requirements are required to file an application for intended graduation.
How to fill out application for intended graduation?
Students can typically fill out the application for intended graduation online through their university's student portal or by submitting a physical form to the registrar's office.
What is the purpose of application for intended graduation?
The application for intended graduation helps the university track students' progress towards completing their degree requirements and prepare for graduation ceremonies.
What information must be reported on application for intended graduation?
The application for intended graduation typically requires students to specify their intended graduation date, major, contact information, and any special requests for graduation ceremony.
Fill out your application for intended graduation online with pdfFiller!
pdfFiller is an end-to-end solution for managing, creating, and editing documents and forms in the cloud. Save time and hassle by preparing your tax forms online.
Application For Intended Graduation is not the form you're looking for?Search for another form here.
Relevant keywords
Related Forms
If you believe that this page should be taken down, please follow our DMCA take down process
here
.
This form may include fields for payment information. Data entered in these fields is not covered by PCI DSS compliance.