Get the free P-1 NEEPCO-ATSL BOND TRUST DEED This Bond ... - BSE
Show details
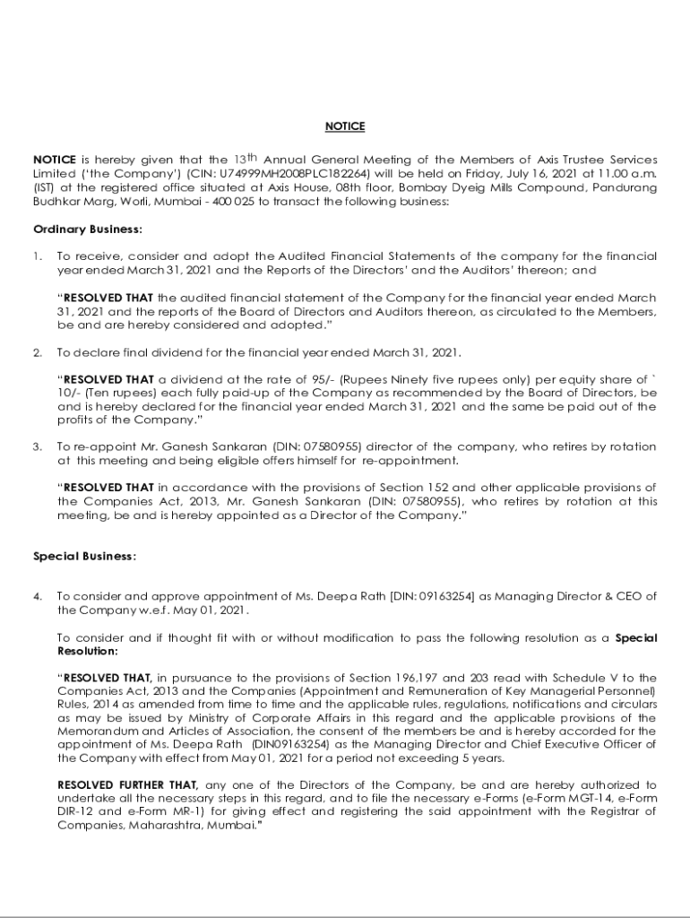
NOTICE is hereby given that the 13th Annual General Meeting of the Members of Axis Trustee Services Limited (the Company) (IN: U74999MH2008PLC182264) will be held on Friday, July 16, 2021, at 11.00
We are not affiliated with any brand or entity on this form
Get, Create, Make and Sign p-1 neepco-atsl bond trust
Edit your p-1 neepco-atsl bond trust form online
Type text, complete fillable fields, insert images, highlight or blackout data for discretion, add comments, and more.
Add your legally-binding signature
Draw or type your signature, upload a signature image, or capture it with your digital camera.
Share your form instantly
Email, fax, or share your p-1 neepco-atsl bond trust form via URL. You can also download, print, or export forms to your preferred cloud storage service.
How to edit p-1 neepco-atsl bond trust online
To use the services of a skilled PDF editor, follow these steps:
1
Create an account. Begin by choosing Start Free Trial and, if you are a new user, establish a profile.
2
Upload a file. Select Add New on your Dashboard and upload a file from your device or import it from the cloud, online, or internal mail. Then click Edit.
3
Edit p-1 neepco-atsl bond trust. Text may be added and replaced, new objects can be included, pages can be rearranged, watermarks and page numbers can be added, and so on. When you're done editing, click Done and then go to the Documents tab to combine, divide, lock, or unlock the file.
4
Get your file. When you find your file in the docs list, click on its name and choose how you want to save it. To get the PDF, you can save it, send an email with it, or move it to the cloud.
pdfFiller makes dealing with documents a breeze. Create an account to find out!
Uncompromising security for your PDF editing and eSignature needs
Your private information is safe with pdfFiller. We employ end-to-end encryption, secure cloud storage, and advanced access control to protect your documents and maintain regulatory compliance.
How to fill out p-1 neepco-atsl bond trust
How to fill out p-1 neepco-atsl bond trust
01
Obtain the P-1 Neepco-ATSL bond trust form from the appropriate authority or website.
02
Fill out the personal details section accurately, including your name, address, contact information, and any other requested information.
03
Provide the necessary bond details, such as the bond number, amount, issue date, and maturity date.
04
Sign and date the form in the designated areas.
05
Review the completed form for any errors or missing information before submitting it.
Who needs p-1 neepco-atsl bond trust?
01
Investors who hold P-1 Neepco-ATSL bonds and wish to establish a trust for the bonds.
02
Individuals or entities looking to secure their investment in P-1 Neepco-ATSL bonds through a trust arrangement.
Fill
form
: Try Risk Free
For pdfFiller’s FAQs
Below is a list of the most common customer questions. If you can’t find an answer to your question, please don’t hesitate to reach out to us.
How can I manage my p-1 neepco-atsl bond trust directly from Gmail?
You can use pdfFiller’s add-on for Gmail in order to modify, fill out, and eSign your p-1 neepco-atsl bond trust along with other documents right in your inbox. Find pdfFiller for Gmail in Google Workspace Marketplace. Use time you spend on handling your documents and eSignatures for more important things.
How do I edit p-1 neepco-atsl bond trust on an iOS device?
No, you can't. With the pdfFiller app for iOS, you can edit, share, and sign p-1 neepco-atsl bond trust right away. At the Apple Store, you can buy and install it in a matter of seconds. The app is free, but you will need to set up an account if you want to buy a subscription or start a free trial.
How do I fill out p-1 neepco-atsl bond trust on an Android device?
Complete p-1 neepco-atsl bond trust and other documents on your Android device with the pdfFiller app. The software allows you to modify information, eSign, annotate, and share files. You may view your papers from anywhere with an internet connection.
What is p-1 neepco-atsl bond trust?
P-1 NEEP Co-ATSL Bond Trust is a trust established for the purpose of managing bonds issued by NEPCO (North Eastern Electric Power Corporation) and ATSL (Assam Transmission System Limited) for financing energy projects.
Who is required to file p-1 neepco-atsl bond trust?
Any entity or individual holding bonds issued by NEPCO and ATSL is required to file p-1 NEPCO-ATSL Bond Trust.
How to fill out p-1 neepco-atsl bond trust?
The p-1 NEPCO-ATSL Bond Trust form is typically filled out by providing information about the bondholder, bond details, and any relevant transactions or activities related to the bond trust.
What is the purpose of p-1 neepco-atsl bond trust?
The purpose of p-1 NEPCO-ATSL Bond Trust is to ensure proper management and accountability of the bond funds, as well as to provide transparency to all involved parties.
What information must be reported on p-1 neepco-atsl bond trust?
Information that must be reported on p-1 NEPCO-ATSL Bond Trust includes details about the bondholder, bond issuance, interest payments, and any other relevant financial transactions.
Fill out your p-1 neepco-atsl bond trust online with pdfFiller!
pdfFiller is an end-to-end solution for managing, creating, and editing documents and forms in the cloud. Save time and hassle by preparing your tax forms online.
P-1 Neepco-Atsl Bond Trust is not the form you're looking for?Search for another form here.
Relevant keywords
Related Forms
If you believe that this page should be taken down, please follow our DMCA take down process
here
.
This form may include fields for payment information. Data entered in these fields is not covered by PCI DSS compliance.