Get the free Building Code & Inspection Information - City of Sevierville
Show details
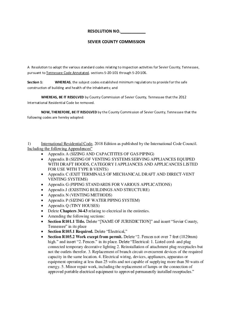
RESOLUTION NO.___ SEVER COUNTY COMMISSION Resolution to adopt the various standard codes relating to inspection activities for Sever County, Tennessee, pursuant to Tennessee Code Annotated, sections
We are not affiliated with any brand or entity on this form
Get, Create, Make and Sign building code ampamp inspection
Edit your building code ampamp inspection form online
Type text, complete fillable fields, insert images, highlight or blackout data for discretion, add comments, and more.
Add your legally-binding signature
Draw or type your signature, upload a signature image, or capture it with your digital camera.
Share your form instantly
Email, fax, or share your building code ampamp inspection form via URL. You can also download, print, or export forms to your preferred cloud storage service.
Editing building code ampamp inspection online
Here are the steps you need to follow to get started with our professional PDF editor:
1
Log in to account. Start Free Trial and sign up a profile if you don't have one yet.
2
Prepare a file. Use the Add New button. Then upload your file to the system from your device, importing it from internal mail, the cloud, or by adding its URL.
3
Edit building code ampamp inspection. Text may be added and replaced, new objects can be included, pages can be rearranged, watermarks and page numbers can be added, and so on. When you're done editing, click Done and then go to the Documents tab to combine, divide, lock, or unlock the file.
4
Save your file. Select it from your records list. Then, click the right toolbar and select one of the various exporting options: save in numerous formats, download as PDF, email, or cloud.
It's easier to work with documents with pdfFiller than you can have believed. Sign up for a free account to view.
Uncompromising security for your PDF editing and eSignature needs
Your private information is safe with pdfFiller. We employ end-to-end encryption, secure cloud storage, and advanced access control to protect your documents and maintain regulatory compliance.
How to fill out building code ampamp inspection
How to fill out building code ampamp inspection
01
Identify the specific building code requirements for your project
02
Gather all necessary documentation, such as construction plans and permits
03
Schedule an inspection with your local building department
04
Ensure that all work is done in compliance with the building code
05
Address any issues or corrections identified during the inspection
06
Obtain final approval from the building inspector
Who needs building code ampamp inspection?
01
Property owners who are planning to construct or renovate a building
02
Contractors and construction workers involved in building projects
03
Real estate developers who are developing new properties
Fill
form
: Try Risk Free
For pdfFiller’s FAQs
Below is a list of the most common customer questions. If you can’t find an answer to your question, please don’t hesitate to reach out to us.
How do I edit building code ampamp inspection straight from my smartphone?
The pdfFiller apps for iOS and Android smartphones are available in the Apple Store and Google Play Store. You may also get the program at https://edit-pdf-ios-android.pdffiller.com/. Open the web app, sign in, and start editing building code ampamp inspection.
How do I complete building code ampamp inspection on an iOS device?
Download and install the pdfFiller iOS app. Then, launch the app and log in or create an account to have access to all of the editing tools of the solution. Upload your building code ampamp inspection from your device or cloud storage to open it, or input the document URL. After filling out all of the essential areas in the document and eSigning it (if necessary), you may save it or share it with others.
How do I complete building code ampamp inspection on an Android device?
Use the pdfFiller mobile app to complete your building code ampamp inspection on an Android device. The application makes it possible to perform all needed document management manipulations, like adding, editing, and removing text, signing, annotating, and more. All you need is your smartphone and an internet connection.
What is building code ampamp inspection?
Building code inspection is a process that ensures buildings are constructed and maintained in compliance with the local building codes.
Who is required to file building code ampamp inspection?
Property owners or contractors responsible for the construction or renovation of buildings are required to file building code inspections.
How to fill out building code ampamp inspection?
Building code inspections can be filled out by submitting required documentation and scheduling an inspection with the local building department.
What is the purpose of building code ampamp inspection?
The purpose of building code inspection is to ensure compliance with safety regulations, protect public health, and maintain structural integrity of buildings.
What information must be reported on building code ampamp inspection?
Information such as building plans, materials used, construction methods, and inspection dates must be reported on building code inspection.
Fill out your building code ampamp inspection online with pdfFiller!
pdfFiller is an end-to-end solution for managing, creating, and editing documents and forms in the cloud. Save time and hassle by preparing your tax forms online.
Building Code Ampamp Inspection is not the form you're looking for?Search for another form here.
Relevant keywords
Related Forms
If you believe that this page should be taken down, please follow our DMCA take down process
here
.
This form may include fields for payment information. Data entered in these fields is not covered by PCI DSS compliance.