Get the free NOTE :- INSTRUCTIONS FOR FANCY DRESS INSTRUCTIONS ...
Show details
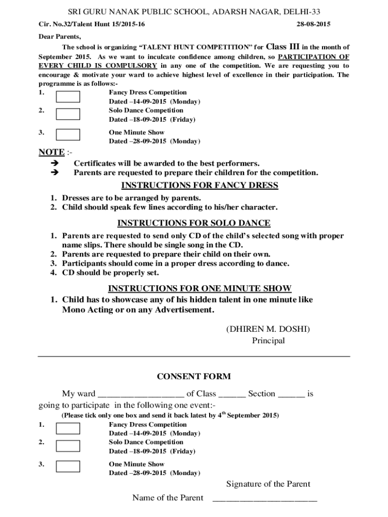
SRI GURU NANAK PUBLIC SCHOOL, ADA RSH NAGAR, DELHI33 Cir. No.32/Talent Hunt 15/20151628082015Dear Parents, The school is organizing TALENT HUNT COMPETITION for Class III in the month of September
We are not affiliated with any brand or entity on this form
Get, Create, Make and Sign note - instructions for
Edit your note - instructions for form online
Type text, complete fillable fields, insert images, highlight or blackout data for discretion, add comments, and more.
Add your legally-binding signature
Draw or type your signature, upload a signature image, or capture it with your digital camera.
Share your form instantly
Email, fax, or share your note - instructions for form via URL. You can also download, print, or export forms to your preferred cloud storage service.
How to edit note - instructions for online
Follow the guidelines below to benefit from a competent PDF editor:
1
Register the account. Begin by clicking Start Free Trial and create a profile if you are a new user.
2
Simply add a document. Select Add New from your Dashboard and import a file into the system by uploading it from your device or importing it via the cloud, online, or internal mail. Then click Begin editing.
3
Edit note - instructions for. Rearrange and rotate pages, add new and changed texts, add new objects, and use other useful tools. When you're done, click Done. You can use the Documents tab to merge, split, lock, or unlock your files.
4
Save your file. Choose it from the list of records. Then, shift the pointer to the right toolbar and select one of the several exporting methods: save it in multiple formats, download it as a PDF, email it, or save it to the cloud.
pdfFiller makes dealing with documents a breeze. Create an account to find out!
Uncompromising security for your PDF editing and eSignature needs
Your private information is safe with pdfFiller. We employ end-to-end encryption, secure cloud storage, and advanced access control to protect your documents and maintain regulatory compliance.
How to fill out note - instructions for
How to fill out note - instructions for
01
Start by writing the date at the top of the note.
02
Include the name and contact information of the recipient or intended reader.
03
Write a clear and concise message or information in the body of the note.
04
Sign your name at the end to personalize the note.
05
Consider adding any additional details or context that may be helpful for the recipient.
Who needs note - instructions for?
01
Anyone who wants to communicate a brief message or information in a more personal and thoughtful manner.
02
People who prefer handwritten notes over electronic communication for a more personal touch.
03
Individuals who want to express gratitude, sympathy, or other sentiments in a more tangible way.
Fill
form
: Try Risk Free
For pdfFiller’s FAQs
Below is a list of the most common customer questions. If you can’t find an answer to your question, please don’t hesitate to reach out to us.
How do I edit note - instructions for in Chrome?
Add pdfFiller Google Chrome Extension to your web browser to start editing note - instructions for and other documents directly from a Google search page. The service allows you to make changes in your documents when viewing them in Chrome. Create fillable documents and edit existing PDFs from any internet-connected device with pdfFiller.
Can I create an eSignature for the note - instructions for in Gmail?
Use pdfFiller's Gmail add-on to upload, type, or draw a signature. Your note - instructions for and other papers may be signed using pdfFiller. Register for a free account to preserve signed papers and signatures.
Can I edit note - instructions for on an Android device?
You can edit, sign, and distribute note - instructions for on your mobile device from anywhere using the pdfFiller mobile app for Android; all you need is an internet connection. Download the app and begin streamlining your document workflow from anywhere.
What is note - instructions for?
Note - instructions are guidelines or directions on how to complete a specific task or activity.
Who is required to file note - instructions for?
Anyone who needs to follow specific steps or procedures in order to complete a task may be required to refer to note - instructions.
How to fill out note - instructions for?
Note - instructions can typically be filled out by following the outlined steps or guidelines provided.
What is the purpose of note - instructions for?
The purpose of note - instructions is to provide clarity and guidance on how to complete a task or activity efficiently and accurately.
What information must be reported on note - instructions for?
Note - instructions may include details on steps to follow, resources needed, potential obstacles, and expected outcomes of completing the task.
Fill out your note - instructions for online with pdfFiller!
pdfFiller is an end-to-end solution for managing, creating, and editing documents and forms in the cloud. Save time and hassle by preparing your tax forms online.
Note - Instructions For is not the form you're looking for?Search for another form here.
Relevant keywords
Related Forms
If you believe that this page should be taken down, please follow our DMCA take down process
here
.
This form may include fields for payment information. Data entered in these fields is not covered by PCI DSS compliance.