Get the free Nurse Aide I Application - NC DHHS
Show details
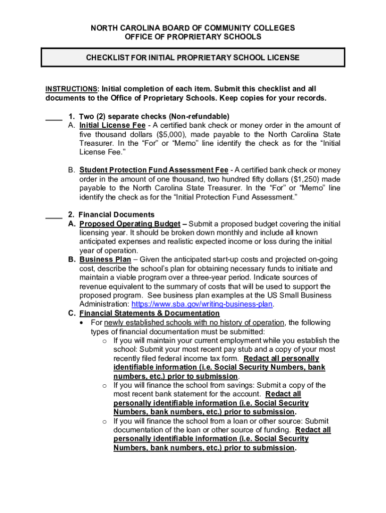
NORTH CAROLINA BOARD OF COMMUNITY COLLEGES OFFICE OF PROPRIETARY SCHOOLS CHECKLIST FOR INITIAL PROPRIETARY SCHOOL LICENSEINSTRUCTIONS: Initial completion of each item. Submit this checklist and all
We are not affiliated with any brand or entity on this form
Get, Create, Make and Sign nurse aide i application
Edit your nurse aide i application form online
Type text, complete fillable fields, insert images, highlight or blackout data for discretion, add comments, and more.
Add your legally-binding signature
Draw or type your signature, upload a signature image, or capture it with your digital camera.
Share your form instantly
Email, fax, or share your nurse aide i application form via URL. You can also download, print, or export forms to your preferred cloud storage service.
Editing nurse aide i application online
Use the instructions below to start using our professional PDF editor:
1
Set up an account. If you are a new user, click Start Free Trial and establish a profile.
2
Upload a document. Select Add New on your Dashboard and transfer a file into the system in one of the following ways: by uploading it from your device or importing from the cloud, web, or internal mail. Then, click Start editing.
3
Edit nurse aide i application. Rearrange and rotate pages, insert new and alter existing texts, add new objects, and take advantage of other helpful tools. Click Done to apply changes and return to your Dashboard. Go to the Documents tab to access merging, splitting, locking, or unlocking functions.
4
Save your file. Choose it from the list of records. Then, shift the pointer to the right toolbar and select one of the several exporting methods: save it in multiple formats, download it as a PDF, email it, or save it to the cloud.
With pdfFiller, it's always easy to work with documents.
Uncompromising security for your PDF editing and eSignature needs
Your private information is safe with pdfFiller. We employ end-to-end encryption, secure cloud storage, and advanced access control to protect your documents and maintain regulatory compliance.
How to fill out nurse aide i application
How to fill out nurse aide i application
01
Obtain a copy of the nurse aide i application form
02
Fill out the personal information section including name, address, and contact information
03
Provide information about any relevant experience or education in the healthcare field
04
Complete the section on your background and qualifications
05
Sign and date the application form before submitting it
Who needs nurse aide i application?
01
Individuals who are interested in becoming a certified nurse aide i
02
Employers who require proof of certification for nurse aide i positions
Fill
form
: Try Risk Free
For pdfFiller’s FAQs
Below is a list of the most common customer questions. If you can’t find an answer to your question, please don’t hesitate to reach out to us.
How do I modify my nurse aide i application in Gmail?
It's easy to use pdfFiller's Gmail add-on to make and edit your nurse aide i application and any other documents you get right in your email. You can also eSign them. Take a look at the Google Workspace Marketplace and get pdfFiller for Gmail. Get rid of the time-consuming steps and easily manage your documents and eSignatures with the help of an app.
How do I complete nurse aide i application online?
pdfFiller has made it simple to fill out and eSign nurse aide i application. The application has capabilities that allow you to modify and rearrange PDF content, add fillable fields, and eSign the document. Begin a free trial to discover all of the features of pdfFiller, the best document editing solution.
Can I edit nurse aide i application on an iOS device?
No, you can't. With the pdfFiller app for iOS, you can edit, share, and sign nurse aide i application right away. At the Apple Store, you can buy and install it in a matter of seconds. The app is free, but you will need to set up an account if you want to buy a subscription or start a free trial.
What is nurse aide i application?
Nurse aide i application is a form used to apply for certification as a nurse aide.
Who is required to file nurse aide i application?
Anyone who wants to work as a nurse aide in a healthcare setting is required to file nurse aide i application.
How to fill out nurse aide i application?
To fill out the nurse aide i application, you need to provide personal information, education and training details, and pass a competency exam.
What is the purpose of nurse aide i application?
The purpose of nurse aide i application is to ensure that individuals meet the necessary requirements to work as a nurse aide.
What information must be reported on nurse aide i application?
Information such as personal details, employment history, training and certification details must be reported on nurse aide i application.
Fill out your nurse aide i application online with pdfFiller!
pdfFiller is an end-to-end solution for managing, creating, and editing documents and forms in the cloud. Save time and hassle by preparing your tax forms online.
Nurse Aide I Application is not the form you're looking for?Search for another form here.
Relevant keywords
Related Forms
If you believe that this page should be taken down, please follow our DMCA take down process
here
.
This form may include fields for payment information. Data entered in these fields is not covered by PCI DSS compliance.