Get the free EMOTIONAL SUPPORT ANIMAL AGREEMENT
Show details
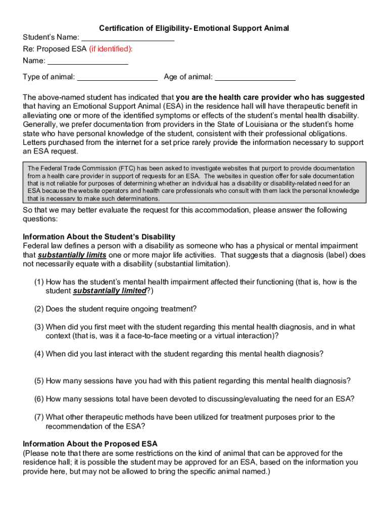
Certification of Eligibility Emotional Support Animal Students Name: ___ Re: Proposed ESA (if identified): Name: ___ Type of animal: ___ Age of animal: ___ The above named student has indicated that
We are not affiliated with any brand or entity on this form
Get, Create, Make and Sign emotional support animal agreement
Edit your emotional support animal agreement form online
Type text, complete fillable fields, insert images, highlight or blackout data for discretion, add comments, and more.
Add your legally-binding signature
Draw or type your signature, upload a signature image, or capture it with your digital camera.
Share your form instantly
Email, fax, or share your emotional support animal agreement form via URL. You can also download, print, or export forms to your preferred cloud storage service.
Editing emotional support animal agreement online
To use the professional PDF editor, follow these steps below:
1
Log in. Click Start Free Trial and create a profile if necessary.
2
Prepare a file. Use the Add New button to start a new project. Then, using your device, upload your file to the system by importing it from internal mail, the cloud, or adding its URL.
3
Edit emotional support animal agreement. Add and replace text, insert new objects, rearrange pages, add watermarks and page numbers, and more. Click Done when you are finished editing and go to the Documents tab to merge, split, lock or unlock the file.
4
Get your file. When you find your file in the docs list, click on its name and choose how you want to save it. To get the PDF, you can save it, send an email with it, or move it to the cloud.
The use of pdfFiller makes dealing with documents straightforward.
Uncompromising security for your PDF editing and eSignature needs
Your private information is safe with pdfFiller. We employ end-to-end encryption, secure cloud storage, and advanced access control to protect your documents and maintain regulatory compliance.
How to fill out emotional support animal agreement
How to fill out emotional support animal agreement
01
Obtain the emotional support animal agreement form from a medical professional or therapist.
02
Fill out your personal information, including your name, address, and contact information.
03
Provide information about your emotional support animal, including its name, breed, and any training it has received.
04
Sign and date the agreement, certifying that the information provided is accurate and true.
05
Submit the completed agreement to the appropriate parties, such as your landlord or airline.
Who needs emotional support animal agreement?
01
Individuals who require an emotional support animal to alleviate symptoms of a mental health condition.
02
Those who are seeking accommodations for their emotional support animal in housing or during air travel.
Fill
form
: Try Risk Free
For pdfFiller’s FAQs
Below is a list of the most common customer questions. If you can’t find an answer to your question, please don’t hesitate to reach out to us.
How do I complete emotional support animal agreement online?
pdfFiller makes it easy to finish and sign emotional support animal agreement online. It lets you make changes to original PDF content, highlight, black out, erase, and write text anywhere on a page, legally eSign your form, and more, all from one place. Create a free account and use the web to keep track of professional documents.
How do I edit emotional support animal agreement in Chrome?
Adding the pdfFiller Google Chrome Extension to your web browser will allow you to start editing emotional support animal agreement and other documents right away when you search for them on a Google page. People who use Chrome can use the service to make changes to their files while they are on the Chrome browser. pdfFiller lets you make fillable documents and make changes to existing PDFs from any internet-connected device.
How do I complete emotional support animal agreement on an Android device?
Complete emotional support animal agreement and other documents on your Android device with the pdfFiller app. The software allows you to modify information, eSign, annotate, and share files. You may view your papers from anywhere with an internet connection.
What is emotional support animal agreement?
An emotional support animal agreement is a legal document that outlines the rights and responsibilities of individuals who require an emotional support animal as part of their mental health treatment.
Who is required to file emotional support animal agreement?
Individuals who seek to have an emotional support animal in housing or for travel purposes are typically required to file this agreement.
How to fill out emotional support animal agreement?
To fill out an emotional support animal agreement, the individual must provide necessary personal information, details about the animal, a letter from a licensed mental health professional, and any other required documentation.
What is the purpose of emotional support animal agreement?
The purpose of an emotional support animal agreement is to ensure that both the individual and the housing provider or airline understand their rights and obligations regarding the emotional support animal.
What information must be reported on emotional support animal agreement?
The agreement must report the individual's name, contact information, the type and breed of the animal, the purpose of the animal's support, and verification from a licensed mental health professional.
Fill out your emotional support animal agreement online with pdfFiller!
pdfFiller is an end-to-end solution for managing, creating, and editing documents and forms in the cloud. Save time and hassle by preparing your tax forms online.
Emotional Support Animal Agreement is not the form you're looking for?Search for another form here.
Relevant keywords
Related Forms
If you believe that this page should be taken down, please follow our DMCA take down process
here
.
This form may include fields for payment information. Data entered in these fields is not covered by PCI DSS compliance.