Get the free Live Theater Director Agreement - Creators Legal
Show details
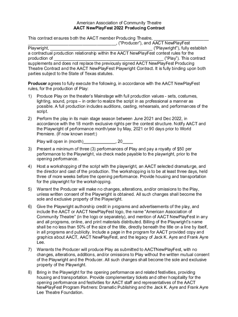
American Association of Community Theater ACT NewPlayFest 2022 Producing Contract This contract ensures both the ACT member Producing Theater, ___ ___, (Producer), and ACT NewPlayFest Playwright,
We are not affiliated with any brand or entity on this form
Get, Create, Make and Sign live formater director agreement
Edit your live formater director agreement form online
Type text, complete fillable fields, insert images, highlight or blackout data for discretion, add comments, and more.
Add your legally-binding signature
Draw or type your signature, upload a signature image, or capture it with your digital camera.
Share your form instantly
Email, fax, or share your live formater director agreement form via URL. You can also download, print, or export forms to your preferred cloud storage service.
Editing live formater director agreement online
To use our professional PDF editor, follow these steps:
1
Register the account. Begin by clicking Start Free Trial and create a profile if you are a new user.
2
Simply add a document. Select Add New from your Dashboard and import a file into the system by uploading it from your device or importing it via the cloud, online, or internal mail. Then click Begin editing.
3
Edit live formater director agreement. Rearrange and rotate pages, add and edit text, and use additional tools. To save changes and return to your Dashboard, click Done. The Documents tab allows you to merge, divide, lock, or unlock files.
4
Save your file. Select it in the list of your records. Then, move the cursor to the right toolbar and choose one of the available exporting methods: save it in multiple formats, download it as a PDF, send it by email, or store it in the cloud.
Dealing with documents is simple using pdfFiller. Now is the time to try it!
Uncompromising security for your PDF editing and eSignature needs
Your private information is safe with pdfFiller. We employ end-to-end encryption, secure cloud storage, and advanced access control to protect your documents and maintain regulatory compliance.
How to fill out live formater director agreement
How to fill out live formater director agreement
01
Gather all necessary information about the parties involved in the agreement, such as names, addresses, and contact information.
02
Clearly outline the roles and responsibilities of the director in the agreement.
03
Include terms regarding the compensation of the director, including payment schedules and amounts.
04
Specify the duration of the agreement and any conditions for termination.
05
Include clauses regarding confidentiality, non-compete agreements, and intellectual property rights.
06
Review the agreement to ensure all details are accurate and complete.
07
Have all parties involved sign the agreement to make it legally binding.
Who needs live formater director agreement?
01
Live formater director agreement is needed by production companies, filmmakers, and anyone hiring a director for a live format project.
Fill
form
: Try Risk Free
For pdfFiller’s FAQs
Below is a list of the most common customer questions. If you can’t find an answer to your question, please don’t hesitate to reach out to us.
How can I get live formater director agreement?
It’s easy with pdfFiller, a comprehensive online solution for professional document management. Access our extensive library of online forms (over 25M fillable forms are available) and locate the live formater director agreement in a matter of seconds. Open it right away and start customizing it using advanced editing features.
How do I edit live formater director agreement on an iOS device?
Create, edit, and share live formater director agreement from your iOS smartphone with the pdfFiller mobile app. Installing it from the Apple Store takes only a few seconds. You may take advantage of a free trial and select a subscription that meets your needs.
How can I fill out live formater director agreement on an iOS device?
Make sure you get and install the pdfFiller iOS app. Next, open the app and log in or set up an account to use all of the solution's editing tools. If you want to open your live formater director agreement, you can upload it from your device or cloud storage, or you can type the document's URL into the box on the right. After you fill in all of the required fields in the document and eSign it, if that is required, you can save or share it with other people.
What is live formater director agreement?
Live formater director agreement is a legal document outlining the terms and conditions between a company and its directors regarding their roles, responsibilities, and compensation.
Who is required to file live formater director agreement?
Directors of a company are required to file live formater director agreement.
How to fill out live formater director agreement?
To fill out a live formater director agreement, the company and its directors must negotiate and agree upon the terms, then document them in the agreement.
What is the purpose of live formater director agreement?
The purpose of live formater director agreement is to establish clear expectations, roles, and responsibilities for directors of a company.
What information must be reported on live formater director agreement?
Information such as director's name, role, responsibilities, compensation, and term of agreement must be reported on live formater director agreement.
Fill out your live formater director agreement online with pdfFiller!
pdfFiller is an end-to-end solution for managing, creating, and editing documents and forms in the cloud. Save time and hassle by preparing your tax forms online.
Live Formater Director Agreement is not the form you're looking for?Search for another form here.
Relevant keywords
Related Forms
If you believe that this page should be taken down, please follow our DMCA take down process
here
.
This form may include fields for payment information. Data entered in these fields is not covered by PCI DSS compliance.