Get the free ODD JOB INCOME AFFIDAVIT INSTRUCTIONS - MaineHousing
Show details
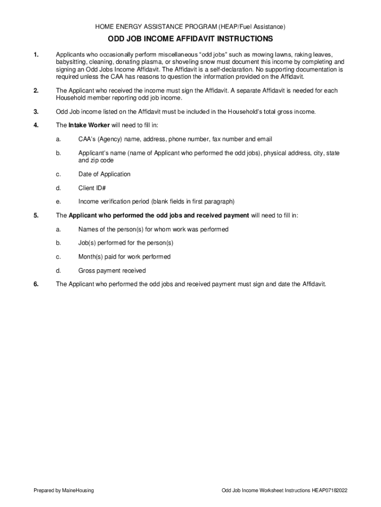
HOME ENERGY ASSISTANCE PROGRAM (HEAP/Fuel Assistance)ODD JOB INCOME AFFIDAVIT INSTRUCTIONS 1. Applicants who occasionally perform miscellaneous odd jobs such as mowing lawns, raking leaves, babysitting,
We are not affiliated with any brand or entity on this form
Get, Create, Make and Sign odd job income affidavit
Edit your odd job income affidavit form online
Type text, complete fillable fields, insert images, highlight or blackout data for discretion, add comments, and more.
Add your legally-binding signature
Draw or type your signature, upload a signature image, or capture it with your digital camera.
Share your form instantly
Email, fax, or share your odd job income affidavit form via URL. You can also download, print, or export forms to your preferred cloud storage service.
Editing odd job income affidavit online
To use the professional PDF editor, follow these steps:
1
Check your account. If you don't have a profile yet, click Start Free Trial and sign up for one.
2
Upload a file. Select Add New on your Dashboard and upload a file from your device or import it from the cloud, online, or internal mail. Then click Edit.
3
Edit odd job income affidavit. Rearrange and rotate pages, add and edit text, and use additional tools. To save changes and return to your Dashboard, click Done. The Documents tab allows you to merge, divide, lock, or unlock files.
4
Save your file. Select it in the list of your records. Then, move the cursor to the right toolbar and choose one of the available exporting methods: save it in multiple formats, download it as a PDF, send it by email, or store it in the cloud.
pdfFiller makes working with documents easier than you could ever imagine. Register for an account and see for yourself!
Uncompromising security for your PDF editing and eSignature needs
Your private information is safe with pdfFiller. We employ end-to-end encryption, secure cloud storage, and advanced access control to protect your documents and maintain regulatory compliance.
How to fill out odd job income affidavit
How to fill out odd job income affidavit
01
Obtain the odd job income affidavit form from the appropriate organization or agency.
02
Fill in your personal information, including your name, address, social security number, and contact information.
03
Provide details about the odd job income you have received, including the amount earned and the dates of the income.
04
Sign and date the form to certify that the information provided is true and accurate.
05
Submit the completed form to the organization or agency as required.
Who needs odd job income affidavit?
01
Individuals who have received income from odd jobs or freelance work may need to fill out an odd job income affidavit.
02
This form is typically required by organizations or agencies that provide benefits or assistance based on income eligibility criteria.
Fill
form
: Try Risk Free
For pdfFiller’s FAQs
Below is a list of the most common customer questions. If you can’t find an answer to your question, please don’t hesitate to reach out to us.
How can I send odd job income affidavit for eSignature?
Once your odd job income affidavit is ready, you can securely share it with recipients and collect eSignatures in a few clicks with pdfFiller. You can send a PDF by email, text message, fax, USPS mail, or notarize it online - right from your account. Create an account now and try it yourself.
How do I edit odd job income affidavit online?
With pdfFiller, you may not only alter the content but also rearrange the pages. Upload your odd job income affidavit and modify it with a few clicks. The editor lets you add photos, sticky notes, text boxes, and more to PDFs.
Can I create an electronic signature for signing my odd job income affidavit in Gmail?
With pdfFiller's add-on, you may upload, type, or draw a signature in Gmail. You can eSign your odd job income affidavit and other papers directly in your mailbox with pdfFiller. To preserve signed papers and your personal signatures, create an account.
What is odd job income affidavit?
The odd job income affidavit is a document used to report income earned from miscellaneous or irregular jobs.
Who is required to file odd job income affidavit?
Individuals who earn income from odd jobs or freelance work are required to file an odd job income affidavit.
How to fill out odd job income affidavit?
To fill out an odd job income affidavit, you will need to provide information about the income earned from odd jobs, including the amount earned and the source of the income.
What is the purpose of odd job income affidavit?
The purpose of an odd job income affidavit is to accurately report income earned from miscellaneous or irregular jobs for tax purposes.
What information must be reported on odd job income affidavit?
On an odd job income affidavit, you must report the amount of income earned from odd jobs, the source of the income, and any relevant tax information.
Fill out your odd job income affidavit online with pdfFiller!
pdfFiller is an end-to-end solution for managing, creating, and editing documents and forms in the cloud. Save time and hassle by preparing your tax forms online.
Odd Job Income Affidavit is not the form you're looking for?Search for another form here.
Relevant keywords
Related Forms
If you believe that this page should be taken down, please follow our DMCA take down process
here
.
This form may include fields for payment information. Data entered in these fields is not covered by PCI DSS compliance.