
Get the free Edgerton, Kansas, city council says funny half-car must go
Show details
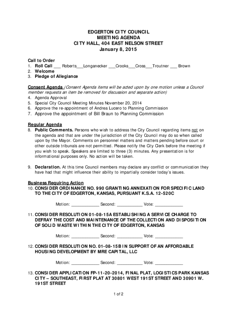
EDGERTON CITY COUNCIL MEETING AGENDA CITY HALL, 404 EAST NELSON STREET January 8, 2015, Call to Order 1. Roll Call ___ Roberts___Longanecker ___Crooks___Cross___Router ___ Brown 2. Welcome, 3. Pledge
We are not affiliated with any brand or entity on this form
Get, Create, Make and Sign edgerton kansas city council

Edit your edgerton kansas city council form online
Type text, complete fillable fields, insert images, highlight or blackout data for discretion, add comments, and more.

Add your legally-binding signature
Draw or type your signature, upload a signature image, or capture it with your digital camera.

Share your form instantly
Email, fax, or share your edgerton kansas city council form via URL. You can also download, print, or export forms to your preferred cloud storage service.
How to edit edgerton kansas city council online
To use the professional PDF editor, follow these steps:
1
Set up an account. If you are a new user, click Start Free Trial and establish a profile.
2
Upload a document. Select Add New on your Dashboard and transfer a file into the system in one of the following ways: by uploading it from your device or importing from the cloud, web, or internal mail. Then, click Start editing.
3
Edit edgerton kansas city council. Add and replace text, insert new objects, rearrange pages, add watermarks and page numbers, and more. Click Done when you are finished editing and go to the Documents tab to merge, split, lock or unlock the file.
4
Get your file. Select the name of your file in the docs list and choose your preferred exporting method. You can download it as a PDF, save it in another format, send it by email, or transfer it to the cloud.
It's easier to work with documents with pdfFiller than you can have ever thought. You can sign up for an account to see for yourself.
Uncompromising security for your PDF editing and eSignature needs
Your private information is safe with pdfFiller. We employ end-to-end encryption, secure cloud storage, and advanced access control to protect your documents and maintain regulatory compliance.
How to fill out edgerton kansas city council

How to fill out edgerton kansas city council
01
Obtain the official application form from the Edgerton city website or city hall.
02
Fill out the application completely, providing accurate and detailed information about your qualifications and reasons for wanting to serve on the city council.
03
Submit the completed application by the specified deadline, either electronically or in person to the city clerk's office.
04
Be prepared to attend an interview with the current city council members to discuss your candidacy and answer any questions they may have.
05
If selected, be sworn in as a member of the Edgerton Kansas City Council and be prepared to fulfill the duties and responsibilities of the position.
Who needs edgerton kansas city council?
01
Residents of Edgerton, Kansas who are passionate about serving their community and making a positive impact on local government.
02
Individuals with a strong sense of civic duty and a desire to be involved in decision-making processes that affect the city.
Fill
form
: Try Risk Free
For pdfFiller’s FAQs
Below is a list of the most common customer questions. If you can’t find an answer to your question, please don’t hesitate to reach out to us.
How do I make changes in edgerton kansas city council?
With pdfFiller, it's easy to make changes. Open your edgerton kansas city council in the editor, which is very easy to use and understand. When you go there, you'll be able to black out and change text, write and erase, add images, draw lines, arrows, and more. You can also add sticky notes and text boxes.
How do I fill out edgerton kansas city council using my mobile device?
You can easily create and fill out legal forms with the help of the pdfFiller mobile app. Complete and sign edgerton kansas city council and other documents on your mobile device using the application. Visit pdfFiller’s webpage to learn more about the functionalities of the PDF editor.
How do I fill out edgerton kansas city council on an Android device?
Complete your edgerton kansas city council and other papers on your Android device by using the pdfFiller mobile app. The program includes all of the necessary document management tools, such as editing content, eSigning, annotating, sharing files, and so on. You will be able to view your papers at any time as long as you have an internet connection.
What is edgerton kansas city council?
The Edgerton Kansas City Council is the governing body responsible for making decisions and enacting policies for the city of Edgerton, Kansas.
Who is required to file edgerton kansas city council?
Any individual or organization that meets the requirements set forth by the city council may be required to file with the Edgerton Kansas City Council.
How to fill out edgerton kansas city council?
To fill out the Edgerton Kansas City Council forms, you must provide the requested information accurately and submit the form by the specified deadline.
What is the purpose of edgerton kansas city council?
The purpose of the Edgerton Kansas City Council is to govern the city, make decisions on behalf of the community, and address issues affecting the city.
What information must be reported on edgerton kansas city council?
The information that must be reported on the Edgerton Kansas City Council forms may include financial disclosures, activity reports, and any other required documentation.
Fill out your edgerton kansas city council online with pdfFiller!
pdfFiller is an end-to-end solution for managing, creating, and editing documents and forms in the cloud. Save time and hassle by preparing your tax forms online.

Edgerton Kansas City Council is not the form you're looking for?Search for another form here.
Relevant keywords
Related Forms
If you believe that this page should be taken down, please follow our DMCA take down process
here
.
This form may include fields for payment information. Data entered in these fields is not covered by PCI DSS compliance.