Get the free Foxwood Hills P O A, 800 Hickory Trl, Westminster, SC ...
Show details
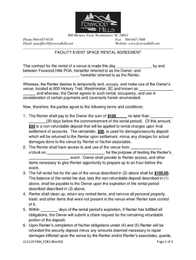
800 Hickory Trail, Westminster, SC 29693 Phone 8646479510 Fax 8646477669 Email: poaoffice@foxwoodhills.net Website: www.foxwoodhills.netFACILITY EVENT SPACE RENTAL Agreements contract for the rental
We are not affiliated with any brand or entity on this form
Get, Create, Make and Sign foxwood hills p o
Edit your foxwood hills p o form online
Type text, complete fillable fields, insert images, highlight or blackout data for discretion, add comments, and more.
Add your legally-binding signature
Draw or type your signature, upload a signature image, or capture it with your digital camera.
Share your form instantly
Email, fax, or share your foxwood hills p o form via URL. You can also download, print, or export forms to your preferred cloud storage service.
Editing foxwood hills p o online
Use the instructions below to start using our professional PDF editor:
1
Register the account. Begin by clicking Start Free Trial and create a profile if you are a new user.
2
Prepare a file. Use the Add New button. Then upload your file to the system from your device, importing it from internal mail, the cloud, or by adding its URL.
3
Edit foxwood hills p o. Replace text, adding objects, rearranging pages, and more. Then select the Documents tab to combine, divide, lock or unlock the file.
4
Get your file. When you find your file in the docs list, click on its name and choose how you want to save it. To get the PDF, you can save it, send an email with it, or move it to the cloud.
With pdfFiller, it's always easy to deal with documents. Try it right now
Uncompromising security for your PDF editing and eSignature needs
Your private information is safe with pdfFiller. We employ end-to-end encryption, secure cloud storage, and advanced access control to protect your documents and maintain regulatory compliance.
How to fill out foxwood hills p o
How to fill out foxwood hills p o
01
Obtain the necessary forms for applying for a PO Box at Foxwood Hills PO.
02
Fill out the forms completely with accurate information such as your name, address and contact information.
03
Pay the required fee for the PO Box rental at Foxwood Hills PO.
04
Submit the filled out forms along with the payment to the designated office at Foxwood Hills PO.
05
Once your application is processed and approved, you will be assigned a PO Box number and given access to your new mailbox.
Who needs foxwood hills p o?
01
Individuals, businesses or organizations who require a secure and private mailing address.
02
Those who do not want to disclose their physical address for privacy reasons.
03
People who receive a high volume of mail and want a designated place to collect it.
Fill
form
: Try Risk Free
For pdfFiller’s FAQs
Below is a list of the most common customer questions. If you can’t find an answer to your question, please don’t hesitate to reach out to us.
How do I execute foxwood hills p o online?
Easy online foxwood hills p o completion using pdfFiller. Also, it allows you to legally eSign your form and change original PDF material. Create a free account and manage documents online.
Can I create an eSignature for the foxwood hills p o in Gmail?
With pdfFiller's add-on, you may upload, type, or draw a signature in Gmail. You can eSign your foxwood hills p o and other papers directly in your mailbox with pdfFiller. To preserve signed papers and your personal signatures, create an account.
How do I edit foxwood hills p o straight from my smartphone?
The pdfFiller mobile applications for iOS and Android are the easiest way to edit documents on the go. You may get them from the Apple Store and Google Play. More info about the applications here. Install and log in to edit foxwood hills p o.
What is foxwood hills p o?
Foxwood Hills P O is a form used to report certain financial information to the IRS.
Who is required to file foxwood hills p o?
Individuals and entities with certain financial assets or income may be required to file Foxwood Hills P O.
How to fill out foxwood hills p o?
Foxwood Hills P O can be filled out online or by mail, following the instructions provided by the IRS.
What is the purpose of foxwood hills p o?
The purpose of Foxwood Hills P O is to report financial information to the IRS for tax compliance.
What information must be reported on foxwood hills p o?
Foxwood Hills P O may require reporting of income, assets, and other financial information as specified by the IRS.
Fill out your foxwood hills p o online with pdfFiller!
pdfFiller is an end-to-end solution for managing, creating, and editing documents and forms in the cloud. Save time and hassle by preparing your tax forms online.
Foxwood Hills P O is not the form you're looking for?Search for another form here.
Relevant keywords
Related Forms
If you believe that this page should be taken down, please follow our DMCA take down process
here
.
This form may include fields for payment information. Data entered in these fields is not covered by PCI DSS compliance.