
Get the free Dane County Contract Cover Sheet
Show details
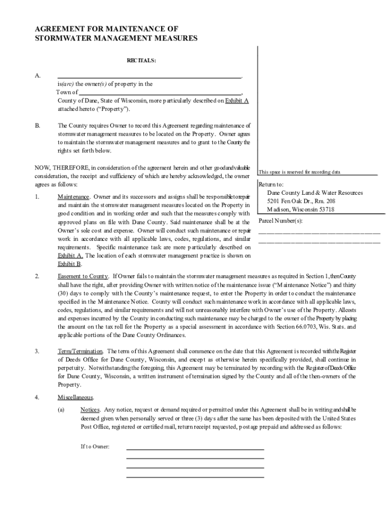
AGREEMENT FOR MAINTENANCE OF STORMWATER MANAGEMENT MEASURES RECITALS:A., is(are) the owner(s) of property in the Town of, County of Dane, State of Wisconsin, more particularly described on Exhibit
We are not affiliated with any brand or entity on this form
Get, Create, Make and Sign dane county contract cover

Edit your dane county contract cover form online
Type text, complete fillable fields, insert images, highlight or blackout data for discretion, add comments, and more.

Add your legally-binding signature
Draw or type your signature, upload a signature image, or capture it with your digital camera.

Share your form instantly
Email, fax, or share your dane county contract cover form via URL. You can also download, print, or export forms to your preferred cloud storage service.
How to edit dane county contract cover online
To use the professional PDF editor, follow these steps:
1
Create an account. Begin by choosing Start Free Trial and, if you are a new user, establish a profile.
2
Upload a file. Select Add New on your Dashboard and upload a file from your device or import it from the cloud, online, or internal mail. Then click Edit.
3
Edit dane county contract cover. Add and replace text, insert new objects, rearrange pages, add watermarks and page numbers, and more. Click Done when you are finished editing and go to the Documents tab to merge, split, lock or unlock the file.
4
Get your file. Select your file from the documents list and pick your export method. You may save it as a PDF, email it, or upload it to the cloud.
With pdfFiller, it's always easy to deal with documents. Try it right now
Uncompromising security for your PDF editing and eSignature needs
Your private information is safe with pdfFiller. We employ end-to-end encryption, secure cloud storage, and advanced access control to protect your documents and maintain regulatory compliance.
How to fill out dane county contract cover

How to fill out dane county contract cover
01
Start by reading the contract cover form carefully to understand the information required.
02
Fill out the general information section with your name, address, and contact details.
03
Provide specific details about the contract, such as the project description, duration, and payment terms.
04
Include any additional terms or conditions that need to be specified in the contract cover.
05
Review the completed form for accuracy and make any necessary corrections before submitting it.
Who needs dane county contract cover?
01
Individuals or businesses entering into a contract with Dane County government agencies.
02
Contractors, vendors, or service providers working on projects funded by Dane County.
03
Anyone required by Dane County to submit a contract cover form as part of their agreement.
Fill
form
: Try Risk Free
For pdfFiller’s FAQs
Below is a list of the most common customer questions. If you can’t find an answer to your question, please don’t hesitate to reach out to us.
Where do I find dane county contract cover?
It's simple with pdfFiller, a full online document management tool. Access our huge online form collection (over 25M fillable forms are accessible) and find the dane county contract cover in seconds. Open it immediately and begin modifying it with powerful editing options.
How do I make changes in dane county contract cover?
With pdfFiller, it's easy to make changes. Open your dane county contract cover in the editor, which is very easy to use and understand. When you go there, you'll be able to black out and change text, write and erase, add images, draw lines, arrows, and more. You can also add sticky notes and text boxes.
How can I edit dane county contract cover on a smartphone?
You may do so effortlessly with pdfFiller's iOS and Android apps, which are available in the Apple Store and Google Play Store, respectively. You may also obtain the program from our website: https://edit-pdf-ios-android.pdffiller.com/. Open the application, sign in, and begin editing dane county contract cover right away.
What is dane county contract cover?
The dane county contract cover is a document that outlines the terms and conditions of a contract between Dane County and a third party.
Who is required to file dane county contract cover?
Any individual or entity entering into a contract with Dane County is required to file the dane county contract cover.
How to fill out dane county contract cover?
The dane county contract cover can be filled out by providing all requested information and signing and dating the document.
What is the purpose of dane county contract cover?
The purpose of the dane county contract cover is to ensure that all parties involved in the contract are aware of and agree to the terms and conditions.
What information must be reported on dane county contract cover?
The dane county contract cover must include information such as the parties involved in the contract, the contract term, and the payment terms.
Fill out your dane county contract cover online with pdfFiller!
pdfFiller is an end-to-end solution for managing, creating, and editing documents and forms in the cloud. Save time and hassle by preparing your tax forms online.

Dane County Contract Cover is not the form you're looking for?Search for another form here.
Relevant keywords
Related Forms
If you believe that this page should be taken down, please follow our DMCA take down process
here
.
This form may include fields for payment information. Data entered in these fields is not covered by PCI DSS compliance.