Form preview

Get the free How to use Power of Attorney during your overseas prope

Get Form
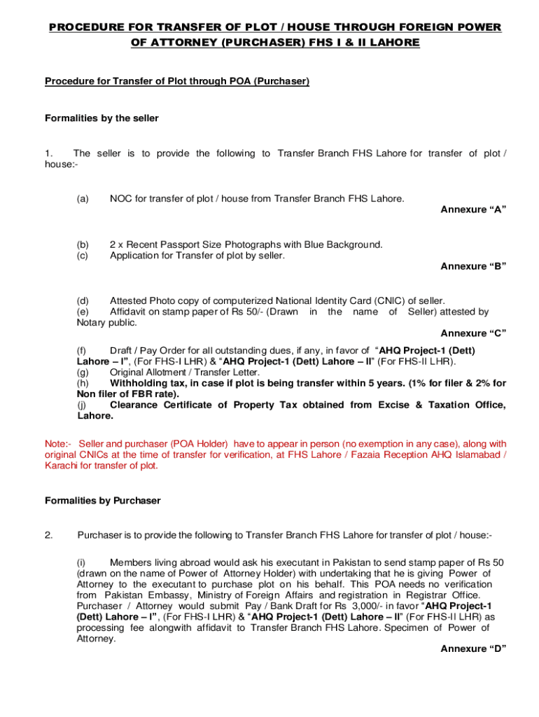
PROCEDURE FOR TRANSFER OF PLOT / HOUSE THROUGH FOREIGN POWER OF ATTORNEY (PURCHASER) FHS I & II LAHOREProcedure for Transfer of Plot through POA (Purchaser)Formalities by the seller1. The seller is
We are not affiliated with any brand or entity on this form

Get, Create, Make and Sign how to use power

Edit
Edit your how to use power form online
Type text, complete fillable fields, insert images, highlight or blackout data for discretion, add comments, and more.
Add
Add your legally-binding signature
Draw or type your signature, upload a signature image, or capture it with your digital camera.
Share
Share your form instantly
Email, fax, or share your how to use power form via URL. You can also download, print, or export forms to your preferred cloud storage service.

Editing how to use power online

9.5
Ease of Setup
pdfFiller User Ratings on G2
9.0
Ease of Use
pdfFiller User Ratings on G2
To use the services of a skilled PDF editor, follow these steps below:
1
Log in. Click Start Free Trial and create a profile if necessary.
2
Prepare a file. Use the Add New button to start a new project. Then, using your device, upload your file to the system by importing it from internal mail, the cloud, or adding its URL.
3
Edit how to use power. Rearrange and rotate pages, add new and changed texts, add new objects, and use other useful tools. When you're done, click Done. You can use the Documents tab to merge, split, lock, or unlock your files.
4
Save your file. Select it in the list of your records. Then, move the cursor to the right toolbar and choose one of the available exporting methods: save it in multiple formats, download it as a PDF, send it by email, or store it in the cloud.
It's easier to work with documents with pdfFiller than you can have ever thought. You can sign up for an account to see for yourself.

Uncompromising security for your PDF editing and eSignature needs

Your private information is safe with pdfFiller. We employ end-to-end encryption, secure cloud storage, and advanced access control to protect your documents and maintain regulatory compliance.
GDPR
AICPA SOC 2
PCI
HIPAA
CCPA
FDA

How to fill out how to use power

Illustration

How to fill out how to use power

01
Make sure you have read the instruction manual for the power tool you are using.
02
Wear appropriate safety gear such as goggles and gloves.
03
Connect the power tool to a power source and ensure it is turned off before using.
04
Familiarize yourself with the different functions and settings of the power tool.
05
Use the power tool according to the specific task you are performing, following all safety guidelines.
06
When finished, turn off the power tool and unplug it from the power source.

Who needs how to use power?

01
Anyone who is using power tools for various tasks at home or in a professional setting.
Fill form : Try Risk Free
Users Most Likely To Recommend - Summer 2025
Grid Leader in Small-Business - Summer 2025
High Performer - Summer 2025
Regional Leader - Summer 2025
Easiest To Do Business With - Summer 2025
Best Meets Requirements- Summer 2025
Rate the form
4.5
Satisfied
40 Votes

For pdfFiller’s FAQs

Below is a list of the most common customer questions. If you can’t find an answer to your question, please don’t hesitate to reach out to us.

People who need to keep track of documents and fill out forms quickly can connect PDF Filler to their Google Docs account. This means that they can make, edit, and sign documents right from their Google Drive. Make your how to use power into a fillable form that you can manage and sign from any internet-connected device with this add-on.
Once you are ready to share your how to use power, you can easily send it to others and get the eSigned document back just as quickly. Share your PDF by email, fax, text message, or USPS mail, or notarize it online. You can do all of this without ever leaving your account.
The premium version of pdfFiller gives you access to a huge library of fillable forms (more than 25 million fillable templates). You can download, fill out, print, and sign them all. State-specific how to use power and other forms will be easy to find in the library. Find the template you need and use advanced editing tools to make it your own.
How to use power is a guide or set of instructions on properly utilizing and managing a power source or resource.
Anyone who has access to or control over a power source may be required to file how to use power.
Filling out how to use power may involve providing information on proper maintenance, safety procedures, and usage guidelines for the power source.
The purpose of how to use power is to ensure that the power source is used efficiently, safely, and in accordance with regulations.
Information such as the type of power source, location, usage instructions, maintenance procedures, and safety precautions may need to be reported on how to use power.
Fill out your how to use power online with pdfFiller!

pdfFiller is an end-to-end solution for managing, creating, and editing documents and forms in the cloud. Save time and hassle by preparing your tax forms online.

Get started now
Form preview
If you believe that this page should be taken down, please follow our DMCA take down process here .
This form may include fields for payment information. Data entered in these fields is not covered by PCI DSS compliance.