Form preview

Get the free References - ACTS Online - U.S. Army - boards law af template

Get Form
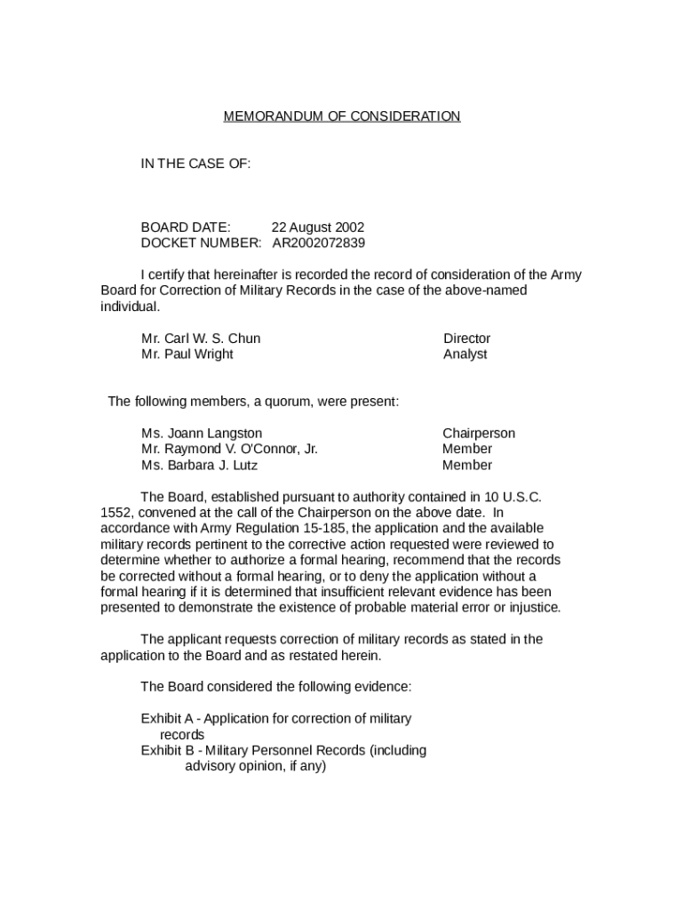
MEMORANDUM OF CONSIDERATION IN THE CASE OF:BOARD DATE: 22 August 2002DOCKET NUMBER: AR2002072839I certify that hereinafter is recorded the record of consideration of the Army Board for Correction
We are not affiliated with any brand or entity on this form

Get, Create, Make and Sign references - acts online

Edit
Edit your references - acts online form online
Type text, complete fillable fields, insert images, highlight or blackout data for discretion, add comments, and more.
Add
Add your legally-binding signature
Draw or type your signature, upload a signature image, or capture it with your digital camera.
Share
Share your form instantly
Email, fax, or share your references - acts online form via URL. You can also download, print, or export forms to your preferred cloud storage service.

How to edit references - acts online online

9.5
Ease of Setup
pdfFiller User Ratings on G2
9.0
Ease of Use
pdfFiller User Ratings on G2
To use our professional PDF editor, follow these steps:
1
Set up an account. If you are a new user, click Start Free Trial and establish a profile.
2
Prepare a file. Use the Add New button. Then upload your file to the system from your device, importing it from internal mail, the cloud, or by adding its URL.
3
Edit references - acts online. Rearrange and rotate pages, add and edit text, and use additional tools. To save changes and return to your Dashboard, click Done. The Documents tab allows you to merge, divide, lock, or unlock files.
4
Save your file. Select it in the list of your records. Then, move the cursor to the right toolbar and choose one of the available exporting methods: save it in multiple formats, download it as a PDF, send it by email, or store it in the cloud.
Dealing with documents is simple using pdfFiller.

Uncompromising security for your PDF editing and eSignature needs

Your private information is safe with pdfFiller. We employ end-to-end encryption, secure cloud storage, and advanced access control to protect your documents and maintain regulatory compliance.
GDPR
AICPA SOC 2
PCI
HIPAA
CCPA
FDA

How to fill out references - acts online

Illustration

How to fill out references - acts online

01
Visit the website of the organization where you need to fill out the references - acts online.
02
Navigate to the section or page for references or recommendations.
03
Input the required information such as your personal details, contact information, and details of the person or organization you are referring.
04
Provide a brief summary of your relationship with the person or organization being referenced.
05
Submit the completed form or follow any additional instructions provided on the website.

Who needs references - acts online?

01
Individuals applying for jobs or educational programs online.
02
Organizations requesting references or recommendations for their members or affiliates.

What is References - ACTS Online - U.S. Army - boards law af Form?

The References - ACTS Online - U.S. Army - boards law af is a document needed to be submitted to the relevant address to provide specific information. It needs to be completed and signed, which may be done in hard copy, or via a certain solution like PDFfiller. This tool allows to complete any PDF or Word document directly from your browser (no software requred), customize it according to your needs and put a legally-binding e-signature. Right after completion, user can send the References - ACTS Online - U.S. Army - boards law af to the appropriate recipient, or multiple ones via email or fax. The editable template is printable as well from PDFfiller feature and options proposed for printing out adjustment. In both digital and in hard copy, your form should have a neat and professional appearance. You can also save it as the template to use later, without creating a new file from the beginning. All you need to do is to edit the ready sample.

Instructions for the References - ACTS Online - U.S. Army - boards law af form

Prior to start submitting the References - ACTS Online - U.S. Army - boards law af .doc form, it's important to make certain all required details are prepared. This very part is important, so far as errors may lead to unpleasant consequences. It is really distressing and time-consuming to resubmit the whole word form, letting alone the penalties caused by missed due dates. To cope with the figures requires a lot of focus. At first sight, there’s nothing tricky with this task. Nonetheless, it doesn't take much to make an error. Professionals advise to keep all data and get it separately in a document. When you've got a writable template so far, you can easily export this info from the document. Anyway, you need to be as observative as you can to provide accurate and legit info. Doublecheck the information in your References - ACTS Online - U.S. Army - boards law af form carefully when completing all necessary fields. You also use the editing tool in order to correct all mistakes if there remains any.

How should you fill out the References - ACTS Online - U.S. Army - boards law af template

To be able to start submitting the form References - ACTS Online - U.S. Army - boards law af, you will need a writable template. When you use PDFfiller for filling out and submitting, you will get it in a few ways:

  • Find the References - ACTS Online - U.S. Army - boards law af form in PDFfiller’s filebase.
  • You can also upload the template with your device in Word or PDF format.
  • Create the document from scratch in PDF creation tool adding all necessary fields in the editor.

No matter what option you prefer, you will have all features you need under your belt. The difference is, the form from the library contains the necessary fillable fields, and in the rest two options, you will have to add them yourself. But nevertheless, it is dead simple thing and makes your document really convenient to fill out. These fields can be easily placed on the pages, and also deleted. Their types depend on their functions, whether you need to type in text, date, or place checkmarks. There is also a e-sign field if you want the word file to be signed by other people. You can actually sign it by yourself via signing feature. When you're good, all you have to do is press the Done button and pass to the form submission.

Fill form : Try Risk Free
Users Most Likely To Recommend - Summer 2025
Grid Leader in Small-Business - Summer 2025
High Performer - Summer 2025
Regional Leader - Summer 2025
Easiest To Do Business With - Summer 2025
Best Meets Requirements- Summer 2025
Rate the form
4.1
Satisfied
52 Votes

For pdfFiller’s FAQs

Below is a list of the most common customer questions. If you can’t find an answer to your question, please don’t hesitate to reach out to us.

Once you are ready to share your references - acts online, you can easily send it to others and get the eSigned document back just as quickly. Share your PDF by email, fax, text message, or USPS mail, or notarize it online. You can do all of this without ever leaving your account.
With pdfFiller, you may not only alter the content but also rearrange the pages. Upload your references - acts online and modify it with a few clicks. The editor lets you add photos, sticky notes, text boxes, and more to PDFs.
Yes. By adding the solution to your Chrome browser, you can use pdfFiller to eSign documents and enjoy all of the features of the PDF editor in one place. Use the extension to create a legally-binding eSignature by drawing it, typing it, or uploading a picture of your handwritten signature. Whatever you choose, you will be able to eSign your references - acts online in seconds.
References - acts online is a platform where individuals or organizations can provide references for specific laws, regulations, or legal documents.
Individuals or organizations involved in legal matters or compliance are required to file references - acts online.
References - acts online can be filled out by providing the necessary information requested in the online form.
The purpose of references - acts online is to provide a centralized location for referencing important legal documents.
The required information to be reported on references - acts online may include the title of the document, publication date, issuing authority, and a brief summary.
Fill out your references - acts online online with pdfFiller!

pdfFiller is an end-to-end solution for managing, creating, and editing documents and forms in the cloud. Save time and hassle by preparing your tax forms online.

Get started now
Form preview
If you believe that this page should be taken down, please follow our DMCA take down process here .
This form may include fields for payment information. Data entered in these fields is not covered by PCI DSS compliance.