Get the free Form of Promissory NoteAlgodon Group, Inc.
Show details
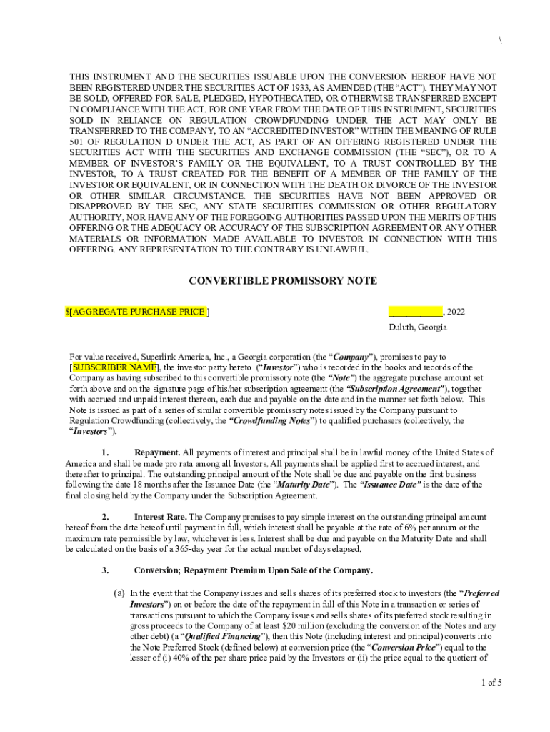
THIS INSTRUMENT AND THE SECURITIES ISSUABLE UPON THE CONVERSION HEREOF HAVE NOT BEEN REGISTERED UNDER THE SECURITIES ACT OF 1933, AS AMENDED (THE ACT). THEY MAY NOT BE SOLD, OFFERED FOR SALE, PLEDGED,
We are not affiliated with any brand or entity on this form
Get, Create, Make and Sign form of promissory notealgodon
Edit your form of promissory notealgodon form online
Type text, complete fillable fields, insert images, highlight or blackout data for discretion, add comments, and more.
Add your legally-binding signature
Draw or type your signature, upload a signature image, or capture it with your digital camera.
Share your form instantly
Email, fax, or share your form of promissory notealgodon form via URL. You can also download, print, or export forms to your preferred cloud storage service.
How to edit form of promissory notealgodon online
To use the services of a skilled PDF editor, follow these steps:
1
Create an account. Begin by choosing Start Free Trial and, if you are a new user, establish a profile.
2
Upload a file. Select Add New on your Dashboard and upload a file from your device or import it from the cloud, online, or internal mail. Then click Edit.
3
Edit form of promissory notealgodon. Text may be added and replaced, new objects can be included, pages can be rearranged, watermarks and page numbers can be added, and so on. When you're done editing, click Done and then go to the Documents tab to combine, divide, lock, or unlock the file.
4
Get your file. Select your file from the documents list and pick your export method. You may save it as a PDF, email it, or upload it to the cloud.
It's easier to work with documents with pdfFiller than you can have believed. Sign up for a free account to view.
Uncompromising security for your PDF editing and eSignature needs
Your private information is safe with pdfFiller. We employ end-to-end encryption, secure cloud storage, and advanced access control to protect your documents and maintain regulatory compliance.
How to fill out form of promissory notealgodon
How to fill out form of promissory notealgodon
01
Begin by writing the date at the top of the form.
02
Enter the names and addresses of the parties involved - the lender and the borrower.
03
Specify the amount of money being loaned in both numerical and written form.
04
Include the terms of the loan, such as the interest rate and repayment schedule.
05
Sign and date the form, and have all parties involved do the same to make it legally binding.
Who needs form of promissory notealgodon?
01
Individuals or businesses looking to formalize a loan agreement with clear terms and conditions would need a promissory note form such as this.
Fill
form
: Try Risk Free
For pdfFiller’s FAQs
Below is a list of the most common customer questions. If you can’t find an answer to your question, please don’t hesitate to reach out to us.
How do I edit form of promissory notealgodon online?
With pdfFiller, the editing process is straightforward. Open your form of promissory notealgodon in the editor, which is highly intuitive and easy to use. There, you’ll be able to blackout, redact, type, and erase text, add images, draw arrows and lines, place sticky notes and text boxes, and much more.
Can I create an electronic signature for signing my form of promissory notealgodon in Gmail?
Use pdfFiller's Gmail add-on to upload, type, or draw a signature. Your form of promissory notealgodon and other papers may be signed using pdfFiller. Register for a free account to preserve signed papers and signatures.
How do I edit form of promissory notealgodon straight from my smartphone?
You can do so easily with pdfFiller’s applications for iOS and Android devices, which can be found at the Apple Store and Google Play Store, respectively. Alternatively, you can get the app on our web page: https://edit-pdf-ios-android.pdffiller.com/. Install the application, log in, and start editing form of promissory notealgodon right away.
What is form of promissory notealgodon?
The form of promissory notealgodon is a legal document that outlines a promise to pay a specified amount of money to a specified person or entity.
Who is required to file form of promissory notealgodon?
The person or entity making the promise to pay the specified amount of money is required to file the form of promissory notealgodon.
How to fill out form of promissory notealgodon?
The form of promissory notealgodon must be filled out with the details of the promise to pay, including the amount of money owed, the recipient of the payment, and the terms of repayment.
What is the purpose of form of promissory notealgodon?
The purpose of the form of promissory notealgodon is to legally document a promise to pay a specified amount of money, ensuring that all parties involved understand and agree to the terms of repayment.
What information must be reported on form of promissory notealgodon?
The form of promissory notealgodon must include details such as the amount of money owed, the recipient of the payment, the terms of repayment, and any other relevant information related to the promise to pay.
Fill out your form of promissory notealgodon online with pdfFiller!
pdfFiller is an end-to-end solution for managing, creating, and editing documents and forms in the cloud. Save time and hassle by preparing your tax forms online.
Form Of Promissory Notealgodon is not the form you're looking for?Search for another form here.
Relevant keywords
Related Forms
If you believe that this page should be taken down, please follow our DMCA take down process
here
.
This form may include fields for payment information. Data entered in these fields is not covered by PCI DSS compliance.