Get the free Missouri Cattlemen's Leadership College is now accepting ...
Show details
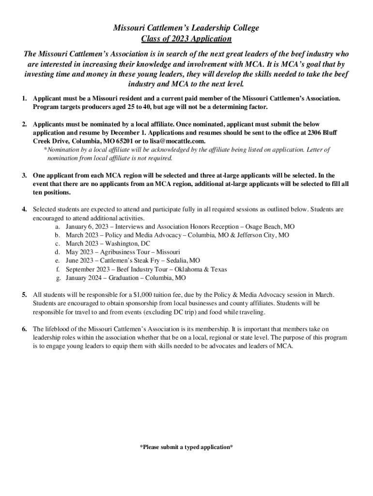
Missouri Cattlemen Leadership College Class of 2023 Application The Missouri Cattlemen Association is in search of the next great leaders of the beef industry who are interested in increasing their
We are not affiliated with any brand or entity on this form
Get, Create, Make and Sign missouri cattlemens leadership college
Edit your missouri cattlemens leadership college form online
Type text, complete fillable fields, insert images, highlight or blackout data for discretion, add comments, and more.
Add your legally-binding signature
Draw or type your signature, upload a signature image, or capture it with your digital camera.
Share your form instantly
Email, fax, or share your missouri cattlemens leadership college form via URL. You can also download, print, or export forms to your preferred cloud storage service.
How to edit missouri cattlemens leadership college online
Follow the guidelines below to take advantage of the professional PDF editor:
1
Sign into your account. If you don't have a profile yet, click Start Free Trial and sign up for one.
2
Prepare a file. Use the Add New button to start a new project. Then, using your device, upload your file to the system by importing it from internal mail, the cloud, or adding its URL.
3
Edit missouri cattlemens leadership college. Replace text, adding objects, rearranging pages, and more. Then select the Documents tab to combine, divide, lock or unlock the file.
4
Get your file. When you find your file in the docs list, click on its name and choose how you want to save it. To get the PDF, you can save it, send an email with it, or move it to the cloud.
pdfFiller makes dealing with documents a breeze. Create an account to find out!
Uncompromising security for your PDF editing and eSignature needs
Your private information is safe with pdfFiller. We employ end-to-end encryption, secure cloud storage, and advanced access control to protect your documents and maintain regulatory compliance.
How to fill out missouri cattlemens leadership college
How to fill out missouri cattlemens leadership college
01
Visit the Missouri Cattlemen's Association website to find the application form for the Leadership College.
02
Fill out the personal information section including your name, contact information, and any relevant experience or certifications.
03
Complete the essay portion where you will explain why you are interested in participating in the Leadership College and how it will benefit your career in the cattle industry.
04
Gather any required supporting documents such as letters of recommendation or transcripts and submit them with your application.
05
Double check all the information provided and make sure you have filled out all the required fields before submitting your application.
Who needs missouri cattlemens leadership college?
01
Individuals who are involved in the cattle industry and are looking to enhance their leadership skills.
02
People who want to network with other professionals in the cattle industry and learn from their experiences.
03
Those who are seeking opportunities for personal and professional growth in the cattle industry.
Fill
form
: Try Risk Free
For pdfFiller’s FAQs
Below is a list of the most common customer questions. If you can’t find an answer to your question, please don’t hesitate to reach out to us.
How can I send missouri cattlemens leadership college for eSignature?
missouri cattlemens leadership college is ready when you're ready to send it out. With pdfFiller, you can send it out securely and get signatures in just a few clicks. PDFs can be sent to you by email, text message, fax, USPS mail, or notarized on your account. You can do this right from your account. Become a member right now and try it out for yourself!
How do I edit missouri cattlemens leadership college online?
pdfFiller allows you to edit not only the content of your files, but also the quantity and sequence of the pages. Upload your missouri cattlemens leadership college to the editor and make adjustments in a matter of seconds. Text in PDFs may be blacked out, typed in, and erased using the editor. You may also include photos, sticky notes, and text boxes, among other things.
Can I edit missouri cattlemens leadership college on an iOS device?
Yes, you can. With the pdfFiller mobile app, you can instantly edit, share, and sign missouri cattlemens leadership college on your iOS device. Get it at the Apple Store and install it in seconds. The application is free, but you will have to create an account to purchase a subscription or activate a free trial.
What is missouri cattlemens leadership college?
Missouri Cattlemen's Leadership College is a program designed to train and develop leaders within the cattle industry.
Who is required to file missouri cattlemens leadership college?
Individuals who are part of the Missouri Cattlemen's Association are required to file the leadership college program.
How to fill out missouri cattlemens leadership college?
To fill out the Missouri Cattlemen's Leadership College program, individuals must complete the application form and submit all required documentation.
What is the purpose of missouri cattlemens leadership college?
The purpose of Missouri Cattlemen's Leadership College is to educate and train future leaders in the cattle industry, helping to advance the industry as a whole.
What information must be reported on missouri cattlemens leadership college?
The Missouri Cattlemen's Leadership College requires information such as personal details, education and work experience, leadership experience, and career goals.
Fill out your missouri cattlemens leadership college online with pdfFiller!
pdfFiller is an end-to-end solution for managing, creating, and editing documents and forms in the cloud. Save time and hassle by preparing your tax forms online.
Missouri Cattlemens Leadership College is not the form you're looking for?Search for another form here.
Relevant keywords
Related Forms
If you believe that this page should be taken down, please follow our DMCA take down process
here
.
This form may include fields for payment information. Data entered in these fields is not covered by PCI DSS compliance.