Get the free Parent Portal: Signing the Chromebook Distribution form ...
Show details
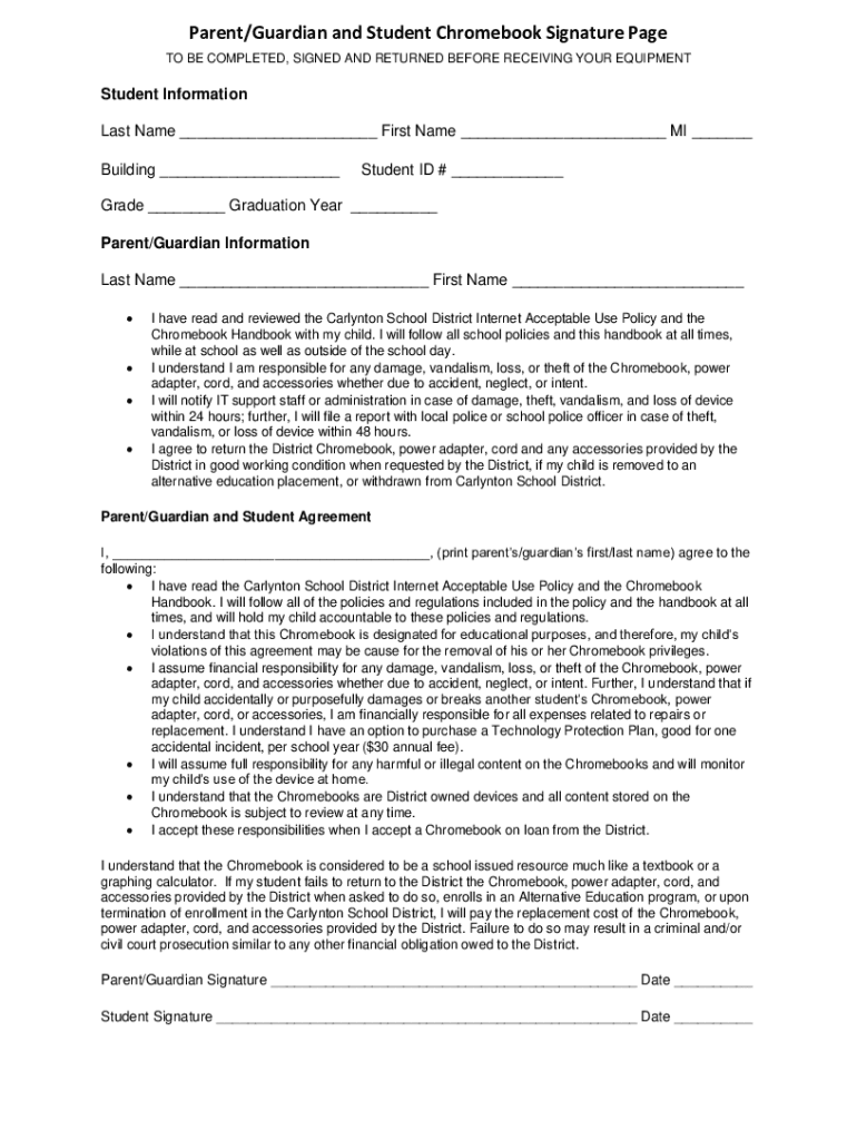
Parent/Guardian and Student Chromebook Signature Page TO BE COMPLETED, SIGNED AND RETURNED BEFORE RECEIVING YOUR EQUIPMENTStudent Information Last Name ___ First Name ___ MI ___ Building ___Student
We are not affiliated with any brand or entity on this form
Get, Create, Make and Sign parent portal signing the
Edit your parent portal signing the form online
Type text, complete fillable fields, insert images, highlight or blackout data for discretion, add comments, and more.
Add your legally-binding signature
Draw or type your signature, upload a signature image, or capture it with your digital camera.
Share your form instantly
Email, fax, or share your parent portal signing the form via URL. You can also download, print, or export forms to your preferred cloud storage service.
How to edit parent portal signing the online
Follow the guidelines below to use a professional PDF editor:
1
Set up an account. If you are a new user, click Start Free Trial and establish a profile.
2
Simply add a document. Select Add New from your Dashboard and import a file into the system by uploading it from your device or importing it via the cloud, online, or internal mail. Then click Begin editing.
3
Edit parent portal signing the. Rearrange and rotate pages, insert new and alter existing texts, add new objects, and take advantage of other helpful tools. Click Done to apply changes and return to your Dashboard. Go to the Documents tab to access merging, splitting, locking, or unlocking functions.
4
Get your file. When you find your file in the docs list, click on its name and choose how you want to save it. To get the PDF, you can save it, send an email with it, or move it to the cloud.
pdfFiller makes working with documents easier than you could ever imagine. Register for an account and see for yourself!
Uncompromising security for your PDF editing and eSignature needs
Your private information is safe with pdfFiller. We employ end-to-end encryption, secure cloud storage, and advanced access control to protect your documents and maintain regulatory compliance.
How to fill out parent portal signing the
How to fill out parent portal signing the
01
Visit the school's official website and locate the parent portal login page.
02
Enter your username and password that was provided by the school.
03
Once logged in, navigate to the section for signing documents.
04
Select the document that requires your signature and click on the designated area to sign.
05
Review the document to ensure all information is accurate and complete.
06
Save the document and log out of the parent portal once the signing process is completed.
Who needs parent portal signing the?
01
Parents or legal guardians of students enrolled in the school need to fill out the parent portal for signing documents related to their child's education.
Fill
form
: Try Risk Free
For pdfFiller’s FAQs
Below is a list of the most common customer questions. If you can’t find an answer to your question, please don’t hesitate to reach out to us.
How can I send parent portal signing the for eSignature?
When your parent portal signing the is finished, send it to recipients securely and gather eSignatures with pdfFiller. You may email, text, fax, mail, or notarize a PDF straight from your account. Create an account today to test it.
How do I edit parent portal signing the in Chrome?
Install the pdfFiller Chrome Extension to modify, fill out, and eSign your parent portal signing the, which you can access right from a Google search page. Fillable documents without leaving Chrome on any internet-connected device.
How can I edit parent portal signing the on a smartphone?
The pdfFiller apps for iOS and Android smartphones are available in the Apple Store and Google Play Store. You may also get the program at https://edit-pdf-ios-android.pdffiller.com/. Open the web app, sign in, and start editing parent portal signing the.
What is parent portal signing the?
Parent portal signing is the process of electronically signing documents related to a student's school activities or information.
Who is required to file parent portal signing the?
Parents or legal guardians of a student are required to file parent portal signing.
How to fill out parent portal signing the?
To fill out parent portal signing, parents or legal guardians can log in to the school's online portal, review the documents, and electronically sign them.
What is the purpose of parent portal signing the?
The purpose of parent portal signing is to ensure that parents are aware of and agree to important school-related information or activities involving their child.
What information must be reported on parent portal signing the?
The information reported on parent portal signing may include consent for field trips, emergency contact information, medical authorizations, and other relevant details.
Fill out your parent portal signing the online with pdfFiller!
pdfFiller is an end-to-end solution for managing, creating, and editing documents and forms in the cloud. Save time and hassle by preparing your tax forms online.
Parent Portal Signing The is not the form you're looking for?Search for another form here.
Relevant keywords
Related Forms
If you believe that this page should be taken down, please follow our DMCA take down process
here
.
This form may include fields for payment information. Data entered in these fields is not covered by PCI DSS compliance.