Get the free Solicitation Number Addendum # Date Issued Procurement ...
Show details
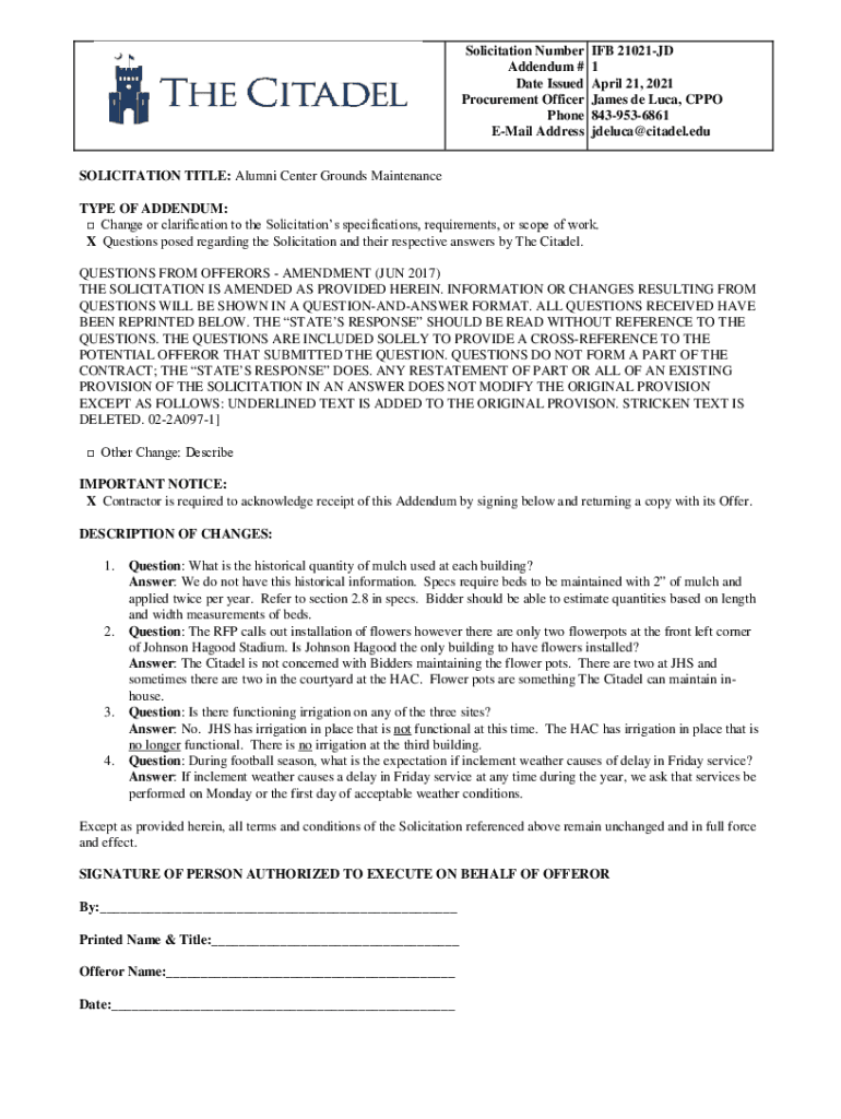
Solicitation Number Addendum # Date Issued Procurement Officer Phone Email Addressing 21021JD 1 April 21, 2021, James de Luca, CAPO 8439536861 jdeluca@citadel.eduSOLICITATION TITLE: Alumni Center
We are not affiliated with any brand or entity on this form
Get, Create, Make and Sign solicitation number addendum date
Edit your solicitation number addendum date form online
Type text, complete fillable fields, insert images, highlight or blackout data for discretion, add comments, and more.
Add your legally-binding signature
Draw or type your signature, upload a signature image, or capture it with your digital camera.
Share your form instantly
Email, fax, or share your solicitation number addendum date form via URL. You can also download, print, or export forms to your preferred cloud storage service.
Editing solicitation number addendum date online
To use the professional PDF editor, follow these steps:
1
Log in to your account. Start Free Trial and register a profile if you don't have one.
2
Prepare a file. Use the Add New button to start a new project. Then, using your device, upload your file to the system by importing it from internal mail, the cloud, or adding its URL.
3
Edit solicitation number addendum date. Text may be added and replaced, new objects can be included, pages can be rearranged, watermarks and page numbers can be added, and so on. When you're done editing, click Done and then go to the Documents tab to combine, divide, lock, or unlock the file.
4
Save your file. Select it in the list of your records. Then, move the cursor to the right toolbar and choose one of the available exporting methods: save it in multiple formats, download it as a PDF, send it by email, or store it in the cloud.
Uncompromising security for your PDF editing and eSignature needs
Your private information is safe with pdfFiller. We employ end-to-end encryption, secure cloud storage, and advanced access control to protect your documents and maintain regulatory compliance.
How to fill out solicitation number addendum date
How to fill out solicitation number addendum date
01
Contact the issuing agency or organization for clarification on the solicitation number addendum date.
02
Read and understand the addendum instructions provided by the agency.
03
Fill out the solicitation number addendum date in the designated section of the solicitation document.
04
Double-check the accuracy of the addendum date before submitting the document.
Who needs solicitation number addendum date?
01
Individuals or companies participating in a bidding process for a contract
02
Contractors or vendors responding to a solicitation for goods or services
Fill
form
: Try Risk Free
For pdfFiller’s FAQs
Below is a list of the most common customer questions. If you can’t find an answer to your question, please don’t hesitate to reach out to us.
How do I modify my solicitation number addendum date in Gmail?
You may use pdfFiller's Gmail add-on to change, fill out, and eSign your solicitation number addendum date as well as other documents directly in your inbox by using the pdfFiller add-on for Gmail. pdfFiller for Gmail may be found on the Google Workspace Marketplace. Use the time you would have spent dealing with your papers and eSignatures for more vital tasks instead.
Where do I find solicitation number addendum date?
The premium version of pdfFiller gives you access to a huge library of fillable forms (more than 25 million fillable templates). You can download, fill out, print, and sign them all. State-specific solicitation number addendum date and other forms will be easy to find in the library. Find the template you need and use advanced editing tools to make it your own.
Can I edit solicitation number addendum date on an iOS device?
Use the pdfFiller app for iOS to make, edit, and share solicitation number addendum date from your phone. Apple's store will have it up and running in no time. It's possible to get a free trial and choose a subscription plan that fits your needs.
What is solicitation number addendum date?
The solicitation number addendum date is the date when any updates or changes are made to the initial solicitation number.
Who is required to file solicitation number addendum date?
All bidders or vendors participating in the solicitation process are required to file the solicitation number addendum date.
How to fill out solicitation number addendum date?
To fill out the solicitation number addendum date, bidders or vendors need to review the updated information and submit any required documentation by the designated deadline.
What is the purpose of solicitation number addendum date?
The purpose of the solicitation number addendum date is to ensure that all participants have access to the most up-to-date information regarding the solicitation process.
What information must be reported on solicitation number addendum date?
Any updates, changes, or additional details related to the solicitation process must be reported on the solicitation number addendum date.
Fill out your solicitation number addendum date online with pdfFiller!
pdfFiller is an end-to-end solution for managing, creating, and editing documents and forms in the cloud. Save time and hassle by preparing your tax forms online.
Solicitation Number Addendum Date is not the form you're looking for?Search for another form here.
Relevant keywords
Related Forms
If you believe that this page should be taken down, please follow our DMCA take down process
here
.
This form may include fields for payment information. Data entered in these fields is not covered by PCI DSS compliance.