
Get the free Memorandum of Agreement Between Iowa DoE and ISU ...
Show details
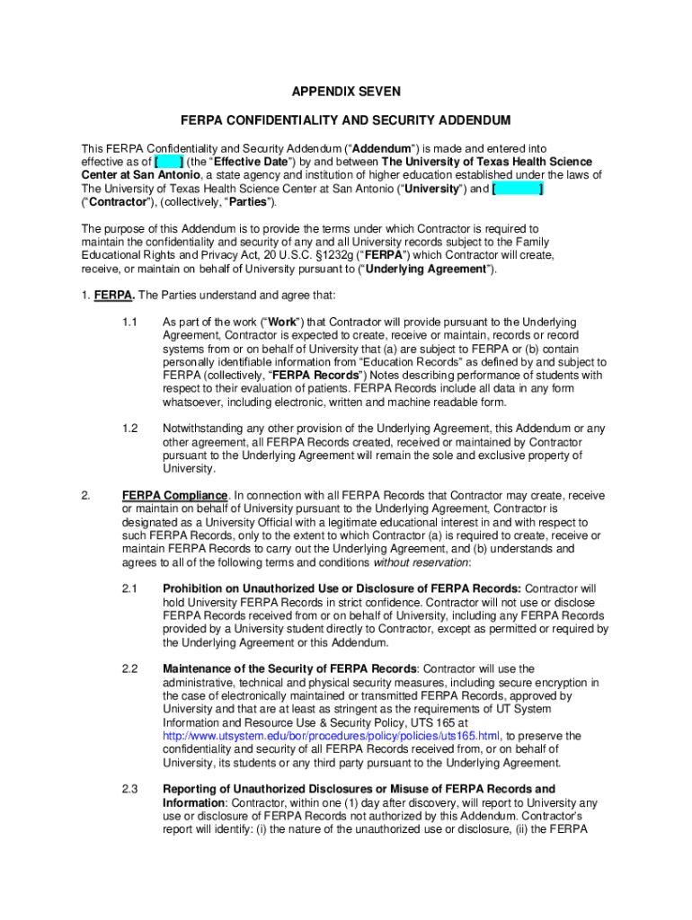
APPENDIX SEVEN FER PA CONFIDENTIALITY AND SECURITY ADDENDUM This FER PA Confidentiality and Security Addendum (Addendum) is made and entered into effective as of [] (the Effective Date) by and between
We are not affiliated with any brand or entity on this form
Get, Create, Make and Sign memorandum of agreement between

Edit your memorandum of agreement between form online
Type text, complete fillable fields, insert images, highlight or blackout data for discretion, add comments, and more.

Add your legally-binding signature
Draw or type your signature, upload a signature image, or capture it with your digital camera.

Share your form instantly
Email, fax, or share your memorandum of agreement between form via URL. You can also download, print, or export forms to your preferred cloud storage service.
How to edit memorandum of agreement between online
To use our professional PDF editor, follow these steps:
1
Create an account. Begin by choosing Start Free Trial and, if you are a new user, establish a profile.
2
Simply add a document. Select Add New from your Dashboard and import a file into the system by uploading it from your device or importing it via the cloud, online, or internal mail. Then click Begin editing.
3
Edit memorandum of agreement between. Rearrange and rotate pages, insert new and alter existing texts, add new objects, and take advantage of other helpful tools. Click Done to apply changes and return to your Dashboard. Go to the Documents tab to access merging, splitting, locking, or unlocking functions.
4
Get your file. Select your file from the documents list and pick your export method. You may save it as a PDF, email it, or upload it to the cloud.
With pdfFiller, it's always easy to work with documents.
Uncompromising security for your PDF editing and eSignature needs
Your private information is safe with pdfFiller. We employ end-to-end encryption, secure cloud storage, and advanced access control to protect your documents and maintain regulatory compliance.
How to fill out memorandum of agreement between

How to fill out memorandum of agreement between
01
Begin by identifying the parties involved in the agreement.
02
Clearly outline the purpose and goals of the agreement.
03
Include any terms and conditions that both parties must adhere to.
04
Specify the duration of the agreement and any renewal options.
05
Include a section for signatures and dates from all parties involved.
Who needs memorandum of agreement between?
01
Government agencies and contractors
02
Business partners entering into a partnership
03
Non-profit organizations collaborating on a project
Fill
form
: Try Risk Free
For pdfFiller’s FAQs
Below is a list of the most common customer questions. If you can’t find an answer to your question, please don’t hesitate to reach out to us.
How can I edit memorandum of agreement between from Google Drive?
People who need to keep track of documents and fill out forms quickly can connect PDF Filler to their Google Docs account. This means that they can make, edit, and sign documents right from their Google Drive. Make your memorandum of agreement between into a fillable form that you can manage and sign from any internet-connected device with this add-on.
How do I make changes in memorandum of agreement between?
With pdfFiller, you may not only alter the content but also rearrange the pages. Upload your memorandum of agreement between and modify it with a few clicks. The editor lets you add photos, sticky notes, text boxes, and more to PDFs.
Can I edit memorandum of agreement between on an iOS device?
Use the pdfFiller app for iOS to make, edit, and share memorandum of agreement between from your phone. Apple's store will have it up and running in no time. It's possible to get a free trial and choose a subscription plan that fits your needs.
What is memorandum of agreement between?
Memorandum of agreement is between two or more parties.
Who is required to file memorandum of agreement between?
The parties involved in the agreement are required to file the memorandum of agreement.
How to fill out memorandum of agreement between?
The memorandum of agreement should be filled out by including all relevant details and signatures of all parties involved.
What is the purpose of memorandum of agreement between?
The purpose of memorandum of agreement is to outline the terms and conditions agreed upon by the parties involved.
What information must be reported on memorandum of agreement between?
The memorandum of agreement must include details about the parties involved, the agreed terms and conditions, and the effective date of the agreement.
Fill out your memorandum of agreement between online with pdfFiller!
pdfFiller is an end-to-end solution for managing, creating, and editing documents and forms in the cloud. Save time and hassle by preparing your tax forms online.

Memorandum Of Agreement Between is not the form you're looking for?Search for another form here.
Relevant keywords
Related Forms
If you believe that this page should be taken down, please follow our DMCA take down process
here
.
This form may include fields for payment information. Data entered in these fields is not covered by PCI DSS compliance.