
Get the free Programme Handbook Bachelor of Science Honours in ...
Show details
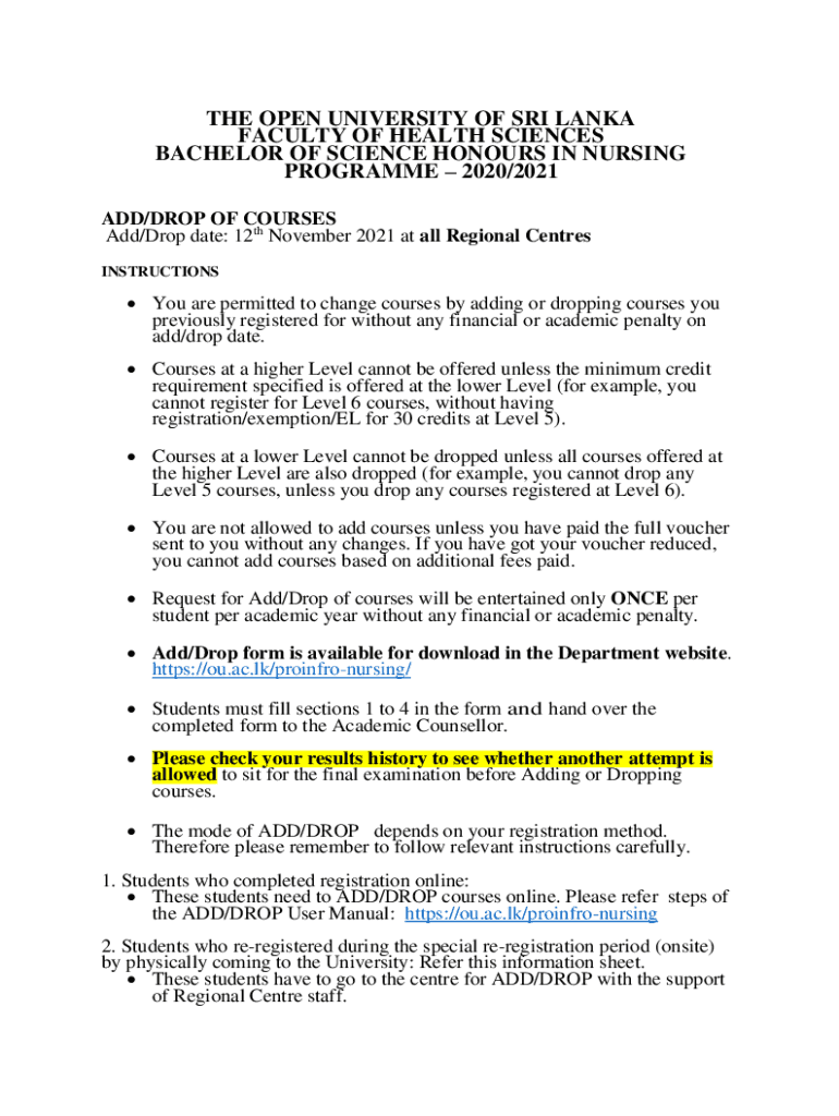
THE OPEN UNIVERSITY OF SRI LANKA FACULTY OF HEALTH SCIENCES BACHELOR OF SCIENCE Honors IN NURSING Program 2020/2021 ADD/DROP OF COURSES Add/Drop date: 12th November 2021 at all Regional Centers INSTRUCTIONS
We are not affiliated with any brand or entity on this form
Get, Create, Make and Sign programme handbook bachelor of

Edit your programme handbook bachelor of form online
Type text, complete fillable fields, insert images, highlight or blackout data for discretion, add comments, and more.

Add your legally-binding signature
Draw or type your signature, upload a signature image, or capture it with your digital camera.

Share your form instantly
Email, fax, or share your programme handbook bachelor of form via URL. You can also download, print, or export forms to your preferred cloud storage service.
How to edit programme handbook bachelor of online
Follow the guidelines below to use a professional PDF editor:
1
Set up an account. If you are a new user, click Start Free Trial and establish a profile.
2
Prepare a file. Use the Add New button. Then upload your file to the system from your device, importing it from internal mail, the cloud, or by adding its URL.
3
Edit programme handbook bachelor of. Replace text, adding objects, rearranging pages, and more. Then select the Documents tab to combine, divide, lock or unlock the file.
4
Save your file. Choose it from the list of records. Then, shift the pointer to the right toolbar and select one of the several exporting methods: save it in multiple formats, download it as a PDF, email it, or save it to the cloud.
Dealing with documents is always simple with pdfFiller.
Uncompromising security for your PDF editing and eSignature needs
Your private information is safe with pdfFiller. We employ end-to-end encryption, secure cloud storage, and advanced access control to protect your documents and maintain regulatory compliance.
How to fill out programme handbook bachelor of

How to fill out programme handbook bachelor of
01
Obtain a copy of the programme handbook for Bachelor of program.
02
Read the instructions provided in the handbook carefully.
03
Fill out personal details such as name, student ID, and contact information.
04
Clearly indicate your course selections for each semester or year.
05
Review the requirements and guidelines for the program to ensure accuracy.
06
Double-check all information before submitting the completed handbook.
Who needs programme handbook bachelor of?
01
Students enrolled in the Bachelor of program.
02
Academic advisors or counselors assisting students in the program.
03
Faculty members overseeing the curriculum and program requirements.
Fill
form
: Try Risk Free
For pdfFiller’s FAQs
Below is a list of the most common customer questions. If you can’t find an answer to your question, please don’t hesitate to reach out to us.
How can I modify programme handbook bachelor of without leaving Google Drive?
You can quickly improve your document management and form preparation by integrating pdfFiller with Google Docs so that you can create, edit and sign documents directly from your Google Drive. The add-on enables you to transform your programme handbook bachelor of into a dynamic fillable form that you can manage and eSign from any internet-connected device.
How can I send programme handbook bachelor of for eSignature?
To distribute your programme handbook bachelor of, simply send it to others and receive the eSigned document back instantly. Post or email a PDF that you've notarized online. Doing so requires never leaving your account.
How do I fill out programme handbook bachelor of on an Android device?
Use the pdfFiller app for Android to finish your programme handbook bachelor of. The application lets you do all the things you need to do with documents, like add, edit, and remove text, sign, annotate, and more. There is nothing else you need except your smartphone and an internet connection to do this.
What is programme handbook bachelor of?
The programme handbook bachelor of contains information about the courses, credits, and requirements for a specific bachelor's degree program.
Who is required to file programme handbook bachelor of?
Students enrolled in the bachelor's degree program are required to have a programme handbook.
How to fill out programme handbook bachelor of?
Students need to carefully review the requirements, courses, and credit options outlined in the programme handbook and follow the guidelines for completing their degree.
What is the purpose of programme handbook bachelor of?
The purpose of the programme handbook is to provide students with a guide to their degree program, including required courses, elective options, and academic policies.
What information must be reported on programme handbook bachelor of?
Information such as course descriptions, credit requirements, graduation requirements, and academic policies must be included in the programme handbook.
Fill out your programme handbook bachelor of online with pdfFiller!
pdfFiller is an end-to-end solution for managing, creating, and editing documents and forms in the cloud. Save time and hassle by preparing your tax forms online.

Programme Handbook Bachelor Of is not the form you're looking for?Search for another form here.
Relevant keywords
Related Forms
If you believe that this page should be taken down, please follow our DMCA take down process
here
.
This form may include fields for payment information. Data entered in these fields is not covered by PCI DSS compliance.