Get the free Foster Family Placement Contract
Show details
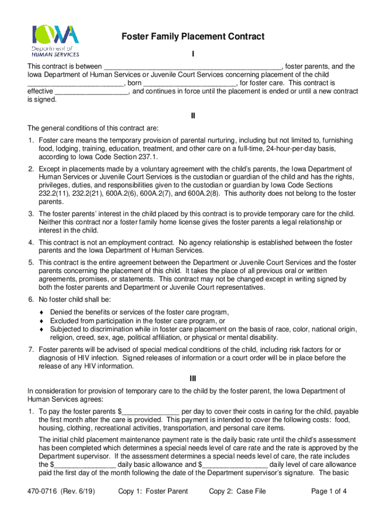
Foster Family Placement Contract I This contract is between ___, foster parents, and the Iowa Department of Human Services or Juvenile Court Services concerning placement of the child ___, born ___,
We are not affiliated with any brand or entity on this form
Get, Create, Make and Sign foster family placement contract
Edit your foster family placement contract form online
Type text, complete fillable fields, insert images, highlight or blackout data for discretion, add comments, and more.
Add your legally-binding signature
Draw or type your signature, upload a signature image, or capture it with your digital camera.
Share your form instantly
Email, fax, or share your foster family placement contract form via URL. You can also download, print, or export forms to your preferred cloud storage service.
Editing foster family placement contract online
To use our professional PDF editor, follow these steps:
1
Set up an account. If you are a new user, click Start Free Trial and establish a profile.
2
Prepare a file. Use the Add New button. Then upload your file to the system from your device, importing it from internal mail, the cloud, or by adding its URL.
3
Edit foster family placement contract. Rearrange and rotate pages, add new and changed texts, add new objects, and use other useful tools. When you're done, click Done. You can use the Documents tab to merge, split, lock, or unlock your files.
4
Save your file. Select it in the list of your records. Then, move the cursor to the right toolbar and choose one of the available exporting methods: save it in multiple formats, download it as a PDF, send it by email, or store it in the cloud.
With pdfFiller, it's always easy to work with documents.
Uncompromising security for your PDF editing and eSignature needs
Your private information is safe with pdfFiller. We employ end-to-end encryption, secure cloud storage, and advanced access control to protect your documents and maintain regulatory compliance.
How to fill out foster family placement contract
How to fill out foster family placement contract
01
Read through the foster family placement contract thoroughly to understand all terms and conditions.
02
Fill in all required information accurately, including personal details of the foster family and the child to be placed in their care.
03
Ensure that all parties involved in the placement sign the contract, including the foster family, child's guardian, and any agency facilitating the placement.
04
Make copies of the signed contract for all parties involved to keep for their records.
05
Submit the completed contract to the relevant authorities or agency for approval and processing.
Who needs foster family placement contract?
01
Foster families who are taking in a child or children under their care.
02
Child welfare agencies or social services departments that are facilitating the placement of children into foster care.
Fill
form
: Try Risk Free
For pdfFiller’s FAQs
Below is a list of the most common customer questions. If you can’t find an answer to your question, please don’t hesitate to reach out to us.
How can I manage my foster family placement contract directly from Gmail?
You may use pdfFiller's Gmail add-on to change, fill out, and eSign your foster family placement contract as well as other documents directly in your inbox by using the pdfFiller add-on for Gmail. pdfFiller for Gmail may be found on the Google Workspace Marketplace. Use the time you would have spent dealing with your papers and eSignatures for more vital tasks instead.
How do I make changes in foster family placement contract?
With pdfFiller, you may not only alter the content but also rearrange the pages. Upload your foster family placement contract and modify it with a few clicks. The editor lets you add photos, sticky notes, text boxes, and more to PDFs.
How do I edit foster family placement contract in Chrome?
Download and install the pdfFiller Google Chrome Extension to your browser to edit, fill out, and eSign your foster family placement contract, which you can open in the editor with a single click from a Google search page. Fillable documents may be executed from any internet-connected device without leaving Chrome.
What is foster family placement contract?
The foster family placement contract is a legally binding agreement between a foster family and a child welfare agency outlining the terms and conditions of the foster care placement.
Who is required to file foster family placement contract?
Both the foster family and the child welfare agency are required to file the foster family placement contract.
How to fill out foster family placement contract?
The foster family and child welfare agency must fill out the foster family placement contract together, ensuring that all relevant information is accurately recorded.
What is the purpose of foster family placement contract?
The purpose of the foster family placement contract is to establish the rights, responsibilities, and expectations of both the foster family and the child welfare agency during the foster care placement.
What information must be reported on foster family placement contract?
The foster family placement contract must include information such as the names of the foster family members, the child's name, the placement address, contact information, visitation schedule, reimbursement details, and more.
Fill out your foster family placement contract online with pdfFiller!
pdfFiller is an end-to-end solution for managing, creating, and editing documents and forms in the cloud. Save time and hassle by preparing your tax forms online.
Foster Family Placement Contract is not the form you're looking for?Search for another form here.
Relevant keywords
Related Forms
If you believe that this page should be taken down, please follow our DMCA take down process
here
.
This form may include fields for payment information. Data entered in these fields is not covered by PCI DSS compliance.