Get the free NIS Description of Data Elements - HCUP - AHRQ
Show details
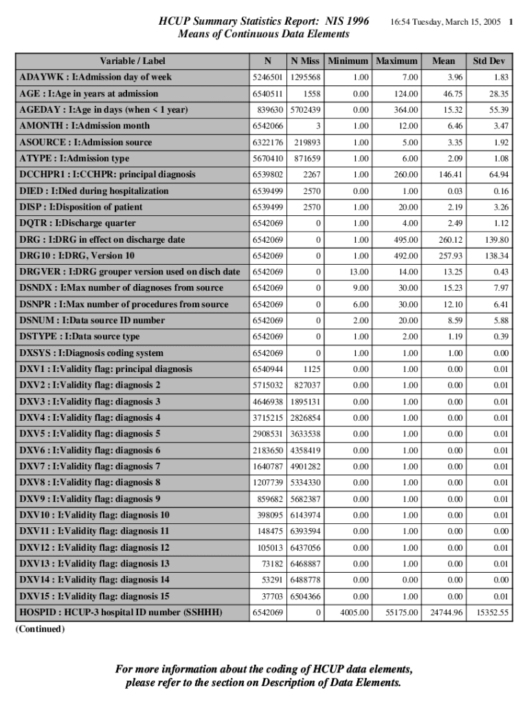
CUP Summary Statistics Report: IS 1996 Means of Continuous Data Elements Variable / LabelN16:54 Tuesday, March 15, 2005 1 N Miss Minimum MaximumMeanStd DevADAYWK : I:Admission day of week5246501
We are not affiliated with any brand or entity on this form
Get, Create, Make and Sign nis description of data
Edit your nis description of data form online
Type text, complete fillable fields, insert images, highlight or blackout data for discretion, add comments, and more.
Add your legally-binding signature
Draw or type your signature, upload a signature image, or capture it with your digital camera.
Share your form instantly
Email, fax, or share your nis description of data form via URL. You can also download, print, or export forms to your preferred cloud storage service.
Editing nis description of data online
Use the instructions below to start using our professional PDF editor:
1
Log in. Click Start Free Trial and create a profile if necessary.
2
Upload a file. Select Add New on your Dashboard and upload a file from your device or import it from the cloud, online, or internal mail. Then click Edit.
3
Edit nis description of data. Rearrange and rotate pages, add and edit text, and use additional tools. To save changes and return to your Dashboard, click Done. The Documents tab allows you to merge, divide, lock, or unlock files.
4
Save your file. Select it in the list of your records. Then, move the cursor to the right toolbar and choose one of the available exporting methods: save it in multiple formats, download it as a PDF, send it by email, or store it in the cloud.
pdfFiller makes working with documents easier than you could ever imagine. Register for an account and see for yourself!
Uncompromising security for your PDF editing and eSignature needs
Your private information is safe with pdfFiller. We employ end-to-end encryption, secure cloud storage, and advanced access control to protect your documents and maintain regulatory compliance.
How to fill out nis description of data
How to fill out nis description of data
01
Start by identifying all the relevant data that needs to be described in the NIS (National Information System) description.
02
Clearly define and categorize the data elements, including any sensitive or confidential information.
03
Provide detailed descriptions for each data element, including its purpose, source, format, and any necessary restrictions on access or use.
04
Organize the data elements in a logical and structured manner, making it easy for users to navigate and understand.
05
Review and update the NIS description regularly to ensure accuracy and completeness.
Who needs nis description of data?
01
Government agencies and organizations that are responsible for managing and securing sensitive information.
02
Data analysts and researchers who rely on accurate and detailed data descriptions to conduct their work effectively.
03
Compliance officers and auditors who need to ensure that data handling practices comply with regulations and standards.
04
IT professionals who are tasked with implementing and maintaining data systems and databases.
Fill
form
: Try Risk Free
For pdfFiller’s FAQs
Below is a list of the most common customer questions. If you can’t find an answer to your question, please don’t hesitate to reach out to us.
How can I send nis description of data for eSignature?
When you're ready to share your nis description of data, you can swiftly email it to others and receive the eSigned document back. You may send your PDF through email, fax, text message, or USPS mail, or you can notarize it online. All of this may be done without ever leaving your account.
Can I create an electronic signature for the nis description of data in Chrome?
As a PDF editor and form builder, pdfFiller has a lot of features. It also has a powerful e-signature tool that you can add to your Chrome browser. With our extension, you can type, draw, or take a picture of your signature with your webcam to make your legally-binding eSignature. Choose how you want to sign your nis description of data and you'll be done in minutes.
How do I edit nis description of data on an Android device?
You can make any changes to PDF files, such as nis description of data, with the help of the pdfFiller mobile app for Android. Edit, sign, and send documents right from your mobile device. Install the app and streamline your document management wherever you are.
What is nis description of data?
NIS description of data is a detailed report outlining the types of data collected, stored, and processed by an organization.
Who is required to file nis description of data?
Organizations that collect, store, and process data are required to file nis description of data.
How to fill out nis description of data?
NIS description of data can be filled out by providing detailed information on the types of data collected, the purpose of collecting it, security measures in place, and data sharing practices.
What is the purpose of nis description of data?
The purpose of nis description of data is to increase transparency regarding data practices, enhance data security, and ensure compliance with data protection regulations.
What information must be reported on nis description of data?
Information that must be reported on nis description of data includes types of data collected, purposes of data collection, data storage practices, data security measures, and data sharing practices.
Fill out your nis description of data online with pdfFiller!
pdfFiller is an end-to-end solution for managing, creating, and editing documents and forms in the cloud. Save time and hassle by preparing your tax forms online.
Nis Description Of Data is not the form you're looking for?Search for another form here.
Relevant keywords
Related Forms
If you believe that this page should be taken down, please follow our DMCA take down process
here
.
This form may include fields for payment information. Data entered in these fields is not covered by PCI DSS compliance.