Get the free Business Tax and License for Business Owners and
Show details
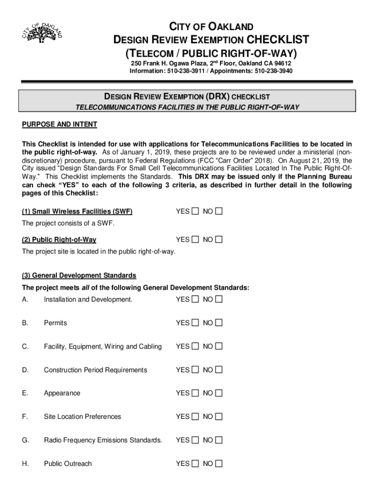
CITY OF OAKLAND DESIGN REVIEW EXEMPTION CHECKLIST (TELECOM / PUBLIC RIGHTOFWAY) 250 Frank H. Ottawa Plaza, 2nd Floor, Oakland CA 94612 Information: 5102383911 / Appointments: 5102383940DESIGN REVIEW
We are not affiliated with any brand or entity on this form
Get, Create, Make and Sign business tax and license
Edit your business tax and license form online
Type text, complete fillable fields, insert images, highlight or blackout data for discretion, add comments, and more.
Add your legally-binding signature
Draw or type your signature, upload a signature image, or capture it with your digital camera.
Share your form instantly
Email, fax, or share your business tax and license form via URL. You can also download, print, or export forms to your preferred cloud storage service.
Editing business tax and license online
To use our professional PDF editor, follow these steps:
1
Create an account. Begin by choosing Start Free Trial and, if you are a new user, establish a profile.
2
Prepare a file. Use the Add New button to start a new project. Then, using your device, upload your file to the system by importing it from internal mail, the cloud, or adding its URL.
3
Edit business tax and license. Add and change text, add new objects, move pages, add watermarks and page numbers, and more. Then click Done when you're done editing and go to the Documents tab to merge or split the file. If you want to lock or unlock the file, click the lock or unlock button.
4
Get your file. Select the name of your file in the docs list and choose your preferred exporting method. You can download it as a PDF, save it in another format, send it by email, or transfer it to the cloud.
The use of pdfFiller makes dealing with documents straightforward.
Uncompromising security for your PDF editing and eSignature needs
Your private information is safe with pdfFiller. We employ end-to-end encryption, secure cloud storage, and advanced access control to protect your documents and maintain regulatory compliance.
How to fill out business tax and license
How to fill out business tax and license
01
Gather all necessary documentation such as your business entity information, federal tax ID number, and financial records.
02
Determine your tax obligations based on your business activities and location.
03
Fill out the required forms accurately and completely, including details about your business operations and revenue.
04
Submit the forms along with any required fees to the appropriate government agency or department.
05
Keep copies of all submitted documentation for your records and be prepared to renew your license annually.
Who needs business tax and license?
01
Anyone who operates a business or engages in business activities in a particular jurisdiction typically needs to obtain a business tax and license. This includes sole proprietors, partnerships, corporations, and LLCs.
Fill
form
: Try Risk Free
For pdfFiller’s FAQs
Below is a list of the most common customer questions. If you can’t find an answer to your question, please don’t hesitate to reach out to us.
How can I send business tax and license for eSignature?
When you're ready to share your business tax and license, you can send it to other people and get the eSigned document back just as quickly. Share your PDF by email, fax, text message, or USPS mail. You can also notarize your PDF on the web. You don't have to leave your account to do this.
Can I sign the business tax and license electronically in Chrome?
Yes, you can. With pdfFiller, you not only get a feature-rich PDF editor and fillable form builder but a powerful e-signature solution that you can add directly to your Chrome browser. Using our extension, you can create your legally-binding eSignature by typing, drawing, or capturing a photo of your signature using your webcam. Choose whichever method you prefer and eSign your business tax and license in minutes.
How do I complete business tax and license on an Android device?
Use the pdfFiller mobile app to complete your business tax and license on an Android device. The application makes it possible to perform all needed document management manipulations, like adding, editing, and removing text, signing, annotating, and more. All you need is your smartphone and an internet connection.
What is business tax and license?
Business tax and license is a legal requirement for businesses to operate within a certain jurisdiction. It is a fee paid to the government to conduct business legally.
Who is required to file business tax and license?
All businesses operating within a specific jurisdiction are required to file for a business tax and license.
How to fill out business tax and license?
Business tax and license forms can typically be filled out online or submitted in person to the local government office. It requires information about the business such as revenue, location, and type of business.
What is the purpose of business tax and license?
The purpose of business tax and license is to regulate businesses, generate revenue for the government, and ensure businesses are operating legally.
What information must be reported on business tax and license?
Information such as business revenue, type of business, location, owner information, and other relevant details must be reported on the business tax and license form.
Fill out your business tax and license online with pdfFiller!
pdfFiller is an end-to-end solution for managing, creating, and editing documents and forms in the cloud. Save time and hassle by preparing your tax forms online.
Business Tax And License is not the form you're looking for?Search for another form here.
Relevant keywords
Related Forms
If you believe that this page should be taken down, please follow our DMCA take down process
here
.
This form may include fields for payment information. Data entered in these fields is not covered by PCI DSS compliance.