Get the free Form 11-A1: Application for Exempt Review
Show details
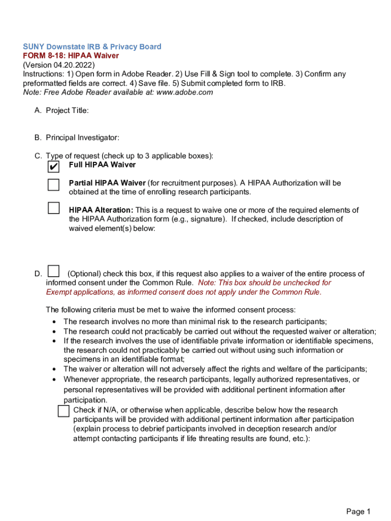
SUN Downstate IRB & Privacy Board FORM 818: HIPAA Waiver (Version 04.20.2022) Instructions: 1) Open form in Adobe Reader. 2) Use Fill & Sign tool to complete. 3) Confirm any preformatted fields are
We are not affiliated with any brand or entity on this form
Get, Create, Make and Sign form 11-a1 application for
Edit your form 11-a1 application for form online
Type text, complete fillable fields, insert images, highlight or blackout data for discretion, add comments, and more.
Add your legally-binding signature
Draw or type your signature, upload a signature image, or capture it with your digital camera.
Share your form instantly
Email, fax, or share your form 11-a1 application for form via URL. You can also download, print, or export forms to your preferred cloud storage service.
Editing form 11-a1 application for online
Follow the steps down below to benefit from a competent PDF editor:
1
Set up an account. If you are a new user, click Start Free Trial and establish a profile.
2
Upload a file. Select Add New on your Dashboard and upload a file from your device or import it from the cloud, online, or internal mail. Then click Edit.
3
Edit form 11-a1 application for. Rearrange and rotate pages, add new and changed texts, add new objects, and use other useful tools. When you're done, click Done. You can use the Documents tab to merge, split, lock, or unlock your files.
4
Save your file. Select it from your list of records. Then, move your cursor to the right toolbar and choose one of the exporting options. You can save it in multiple formats, download it as a PDF, send it by email, or store it in the cloud, among other things.
It's easier to work with documents with pdfFiller than you can have ever thought. You can sign up for an account to see for yourself.
Uncompromising security for your PDF editing and eSignature needs
Your private information is safe with pdfFiller. We employ end-to-end encryption, secure cloud storage, and advanced access control to protect your documents and maintain regulatory compliance.
How to fill out form 11-a1 application for
How to fill out form 11-a1 application for
01
Obtain form 11-a1 application from the appropriate government office or website.
02
Fill in your personal information such as name, address, and contact details.
03
Provide details about the purpose of your application and any relevant background information.
04
Attach any supporting documents, if required.
05
Review the completed form for accuracy and sign and date it before submission.
Who needs form 11-a1 application for?
01
Individuals who are applying for a specific government program or benefit that requires form 11-a1 application to be filled out.
02
Companies or organizations that need to apply for certain permits or licenses that are processed using form 11-a1 application.
Fill
form
: Try Risk Free
For pdfFiller’s FAQs
Below is a list of the most common customer questions. If you can’t find an answer to your question, please don’t hesitate to reach out to us.
How can I manage my form 11-a1 application for directly from Gmail?
form 11-a1 application for and other documents can be changed, filled out, and signed right in your Gmail inbox. You can use pdfFiller's add-on to do this, as well as other things. When you go to Google Workspace, you can find pdfFiller for Gmail. You should use the time you spend dealing with your documents and eSignatures for more important things, like going to the gym or going to the dentist.
How do I complete form 11-a1 application for online?
pdfFiller has made it easy to fill out and sign form 11-a1 application for. You can use the solution to change and move PDF content, add fields that can be filled in, and sign the document electronically. Start a free trial of pdfFiller, the best tool for editing and filling in documents.
How do I edit form 11-a1 application for on an iOS device?
Use the pdfFiller app for iOS to make, edit, and share form 11-a1 application for from your phone. Apple's store will have it up and running in no time. It's possible to get a free trial and choose a subscription plan that fits your needs.
What is form 11-a1 application for?
Form 11-a1 application is for requesting a tax refund or claiming a tax credit.
Who is required to file form 11-a1 application for?
Individuals who have overpaid their taxes or are eligible for tax credits.
How to fill out form 11-a1 application for?
Fill out the form with accurate information regarding your tax situation, including income, deductions, and credits.
What is the purpose of form 11-a1 application for?
The purpose of form 11-a1 application is to allow individuals to claim refunds or credits for overpaid taxes.
What information must be reported on form 11-a1 application for?
Income, deductions, tax credits, and any other relevant tax information must be reported on form 11-a1 application.
Fill out your form 11-a1 application for online with pdfFiller!
pdfFiller is an end-to-end solution for managing, creating, and editing documents and forms in the cloud. Save time and hassle by preparing your tax forms online.
Form 11-a1 Application For is not the form you're looking for?Search for another form here.
Relevant keywords
Related Forms
If you believe that this page should be taken down, please follow our DMCA take down process
here
.
This form may include fields for payment information. Data entered in these fields is not covered by PCI DSS compliance.