Get the free 14ELE-1 - General Enrollment Form - fees - Rev 10-12.doc
Show details
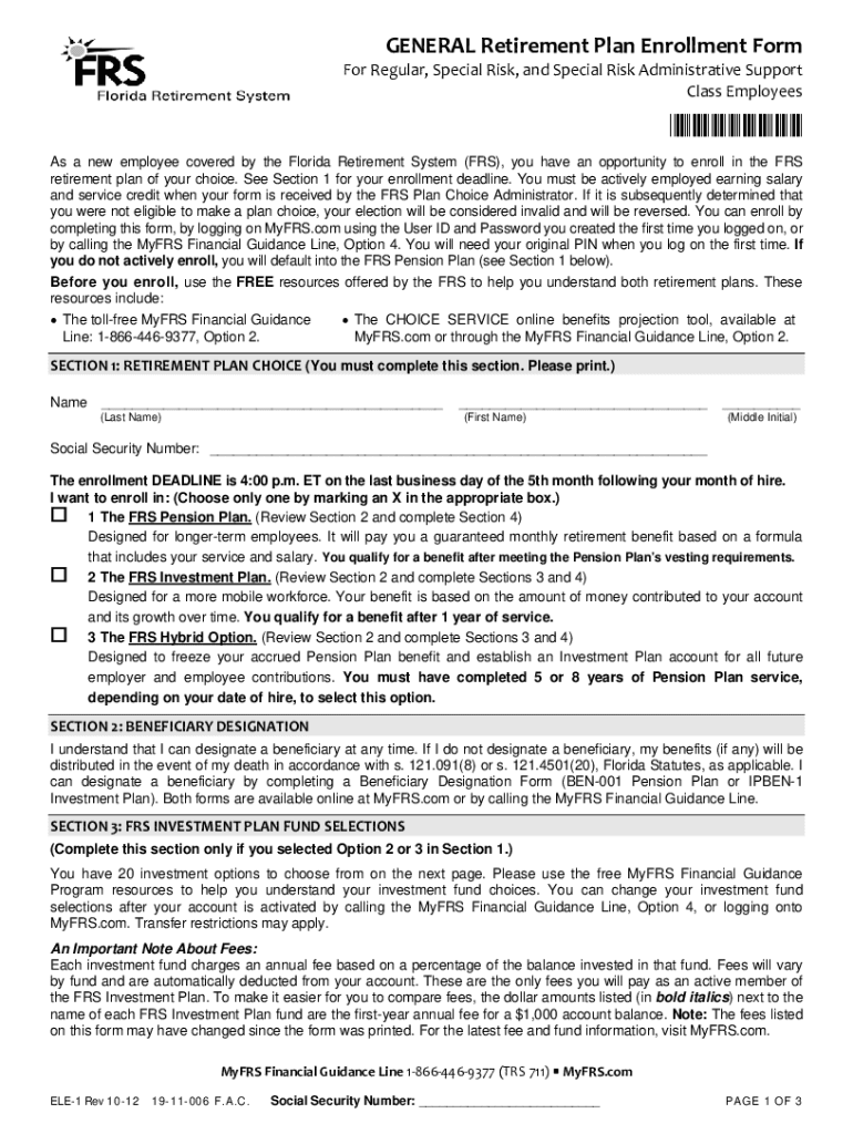
GENERALRetirementPlanEnrollmentForm Irregular, Specialist, andSpecialRiskAdministrativeSupport ClassEmployees×088004* As a new employee covered by the Florida Retirement System (FRS), you have an
We are not affiliated with any brand or entity on this form
Get, Create, Make and Sign 14ele-1 - general enrollment
Edit your 14ele-1 - general enrollment form online
Type text, complete fillable fields, insert images, highlight or blackout data for discretion, add comments, and more.
Add your legally-binding signature
Draw or type your signature, upload a signature image, or capture it with your digital camera.
Share your form instantly
Email, fax, or share your 14ele-1 - general enrollment form via URL. You can also download, print, or export forms to your preferred cloud storage service.
Editing 14ele-1 - general enrollment online
To use the services of a skilled PDF editor, follow these steps:
1
Sign into your account. If you don't have a profile yet, click Start Free Trial and sign up for one.
2
Simply add a document. Select Add New from your Dashboard and import a file into the system by uploading it from your device or importing it via the cloud, online, or internal mail. Then click Begin editing.
3
Edit 14ele-1 - general enrollment. Add and change text, add new objects, move pages, add watermarks and page numbers, and more. Then click Done when you're done editing and go to the Documents tab to merge or split the file. If you want to lock or unlock the file, click the lock or unlock button.
4
Get your file. Select your file from the documents list and pick your export method. You may save it as a PDF, email it, or upload it to the cloud.
pdfFiller makes dealing with documents a breeze. Create an account to find out!
Uncompromising security for your PDF editing and eSignature needs
Your private information is safe with pdfFiller. We employ end-to-end encryption, secure cloud storage, and advanced access control to protect your documents and maintain regulatory compliance.
How to fill out 14ele-1 - general enrollment
How to fill out 14ele-1 - general enrollment
01
Gather all necessary personal information such as full name, date of birth, and social security number.
02
Obtain any relevant supporting documents such as proof of citizenship or immigration status.
03
Fill out the 14ele-1 - general enrollment form completely and accurately.
04
Submit the completed form along with any supporting documents to the appropriate organization or agency.
05
Follow up with the organization or agency to ensure that your enrollment is processed successfully.
Who needs 14ele-1 - general enrollment?
01
Individuals who are eligible for general enrollment under the specified criteria.
02
Those who need to enroll in a particular program or service that requires submission of the 14ele-1 form.
03
Anyone who has been directed to fill out the 14ele-1 form by an authorized entity.
Fill
form
: Try Risk Free
For pdfFiller’s FAQs
Below is a list of the most common customer questions. If you can’t find an answer to your question, please don’t hesitate to reach out to us.
Can I create an electronic signature for signing my 14ele-1 - general enrollment in Gmail?
You can easily create your eSignature with pdfFiller and then eSign your 14ele-1 - general enrollment directly from your inbox with the help of pdfFiller’s add-on for Gmail. Please note that you must register for an account in order to save your signatures and signed documents.
Can I edit 14ele-1 - general enrollment on an iOS device?
No, you can't. With the pdfFiller app for iOS, you can edit, share, and sign 14ele-1 - general enrollment right away. At the Apple Store, you can buy and install it in a matter of seconds. The app is free, but you will need to set up an account if you want to buy a subscription or start a free trial.
How can I fill out 14ele-1 - general enrollment on an iOS device?
Install the pdfFiller app on your iOS device to fill out papers. If you have a subscription to the service, create an account or log in to an existing one. After completing the registration process, upload your 14ele-1 - general enrollment. You may now use pdfFiller's advanced features, such as adding fillable fields and eSigning documents, and accessing them from any device, wherever you are.
What is 14ele-1 - general enrollment?
14ele-1 - general enrollment is a form used to enroll in a general program or service.
Who is required to file 14ele-1 - general enrollment?
Anyone who wishes to enroll in the general program or service must file 14ele-1 - general enrollment.
How to fill out 14ele-1 - general enrollment?
You can fill out 14ele-1 - general enrollment by providing the required information on the form and submitting it according to the instructions provided.
What is the purpose of 14ele-1 - general enrollment?
The purpose of 14ele-1 - general enrollment is to gather information from individuals who wish to enroll in a general program or service.
What information must be reported on 14ele-1 - general enrollment?
The information required to be reported on 14ele-1 - general enrollment may include personal details, contact information, and any other relevant data deemed necessary for enrollment.
Fill out your 14ele-1 - general enrollment online with pdfFiller!
pdfFiller is an end-to-end solution for managing, creating, and editing documents and forms in the cloud. Save time and hassle by preparing your tax forms online.
14ele-1 - General Enrollment is not the form you're looking for?Search for another form here.
Relevant keywords
Related Forms
If you believe that this page should be taken down, please follow our DMCA take down process
here
.
This form may include fields for payment information. Data entered in these fields is not covered by PCI DSS compliance.