
Get the free CharityWeb Online Service Agreement. Usage of CharityWeb's Services - ssl charityweb
Show details
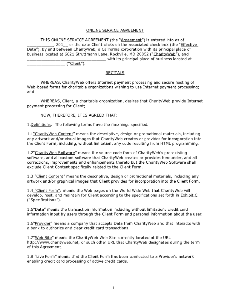
ONLINE SERVICE AGREEMENT THIS ONLINE SERVICE AGREEMENT (the Agreement) is entered into as of ___, 201__ or the date Client clicks on the associated checkbox (the Effective Date), by and between Charity
We are not affiliated with any brand or entity on this form
Get, Create, Make and Sign charityweb online service agreement

Edit your charityweb online service agreement form online
Type text, complete fillable fields, insert images, highlight or blackout data for discretion, add comments, and more.

Add your legally-binding signature
Draw or type your signature, upload a signature image, or capture it with your digital camera.

Share your form instantly
Email, fax, or share your charityweb online service agreement form via URL. You can also download, print, or export forms to your preferred cloud storage service.
How to edit charityweb online service agreement online
To use our professional PDF editor, follow these steps:
1
Create an account. Begin by choosing Start Free Trial and, if you are a new user, establish a profile.
2
Prepare a file. Use the Add New button. Then upload your file to the system from your device, importing it from internal mail, the cloud, or by adding its URL.
3
Edit charityweb online service agreement. Rearrange and rotate pages, add new and changed texts, add new objects, and use other useful tools. When you're done, click Done. You can use the Documents tab to merge, split, lock, or unlock your files.
4
Save your file. Select it from your list of records. Then, move your cursor to the right toolbar and choose one of the exporting options. You can save it in multiple formats, download it as a PDF, send it by email, or store it in the cloud, among other things.
With pdfFiller, it's always easy to deal with documents.
Uncompromising security for your PDF editing and eSignature needs
Your private information is safe with pdfFiller. We employ end-to-end encryption, secure cloud storage, and advanced access control to protect your documents and maintain regulatory compliance.
How to fill out charityweb online service agreement

How to fill out charityweb online service agreement
01
Visit the charityweb website and navigate to the online service agreement page.
02
Read through the agreement carefully to understand the terms and conditions.
03
Fill out the required fields with accurate information, such as organization name, contact information, and payment details.
04
Review the agreement to ensure all information is correct and complete.
05
Submit the agreement electronically by clicking the submit button.
06
Keep a copy of the agreement for your records.
Who needs charityweb online service agreement?
01
Nonprofit organizations looking to use charityweb's online services for fundraising and donation purposes.
Fill
form
: Try Risk Free
For pdfFiller’s FAQs
Below is a list of the most common customer questions. If you can’t find an answer to your question, please don’t hesitate to reach out to us.
How can I send charityweb online service agreement to be eSigned by others?
charityweb online service agreement is ready when you're ready to send it out. With pdfFiller, you can send it out securely and get signatures in just a few clicks. PDFs can be sent to you by email, text message, fax, USPS mail, or notarized on your account. You can do this right from your account. Become a member right now and try it out for yourself!
How do I edit charityweb online service agreement straight from my smartphone?
Using pdfFiller's mobile-native applications for iOS and Android is the simplest method to edit documents on a mobile device. You may get them from the Apple App Store and Google Play, respectively. More information on the apps may be found here. Install the program and log in to begin editing charityweb online service agreement.
How do I fill out the charityweb online service agreement form on my smartphone?
On your mobile device, use the pdfFiller mobile app to complete and sign charityweb online service agreement. Visit our website (https://edit-pdf-ios-android.pdffiller.com/) to discover more about our mobile applications, the features you'll have access to, and how to get started.
What is charityweb online service agreement?
Charityweb online service agreement is a legal document that outlines the terms and conditions for using the charityweb platform for online fundraising.
Who is required to file charityweb online service agreement?
Nonprofit organizations and charities using the charityweb platform for online fundraising are required to file the charityweb online service agreement.
How to fill out charityweb online service agreement?
To fill out the charityweb online service agreement, organizations must provide details about their nonprofit status, fundraising activities, contact information, and agree to the terms and conditions set forth by charityweb.
What is the purpose of charityweb online service agreement?
The purpose of charityweb online service agreement is to establish a legal agreement between charityweb and the nonprofit organization using the platform, outlining the terms of service and responsibilities of both parties.
What information must be reported on charityweb online service agreement?
Information such as nonprofit status, fundraising activities, contact information, and agreement to terms and conditions must be reported on the charityweb online service agreement.
Fill out your charityweb online service agreement online with pdfFiller!
pdfFiller is an end-to-end solution for managing, creating, and editing documents and forms in the cloud. Save time and hassle by preparing your tax forms online.

Charityweb Online Service Agreement is not the form you're looking for?Search for another form here.
Relevant keywords
Related Forms
If you believe that this page should be taken down, please follow our DMCA take down process
here
.
This form may include fields for payment information. Data entered in these fields is not covered by PCI DSS compliance.