Get the free Name : Farooq Sultan
Show details
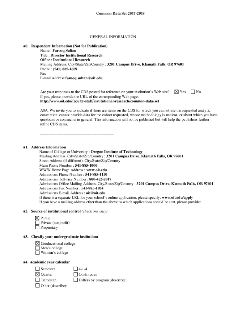
Common Data Set 20172018GENERAL INFORMATION A0. Respondent Information (Not for Publication) Name : Farooq Sultan Title : Director Institutional Research Office : Institutional Research Mailing Address,
We are not affiliated with any brand or entity on this form
Get, Create, Make and Sign name farooq sultan
Edit your name farooq sultan form online
Type text, complete fillable fields, insert images, highlight or blackout data for discretion, add comments, and more.
Add your legally-binding signature
Draw or type your signature, upload a signature image, or capture it with your digital camera.
Share your form instantly
Email, fax, or share your name farooq sultan form via URL. You can also download, print, or export forms to your preferred cloud storage service.
How to edit name farooq sultan online
To use our professional PDF editor, follow these steps:
1
Sign into your account. If you don't have a profile yet, click Start Free Trial and sign up for one.
2
Prepare a file. Use the Add New button. Then upload your file to the system from your device, importing it from internal mail, the cloud, or by adding its URL.
3
Edit name farooq sultan. Rearrange and rotate pages, add new and changed texts, add new objects, and use other useful tools. When you're done, click Done. You can use the Documents tab to merge, split, lock, or unlock your files.
4
Save your file. Select it from your records list. Then, click the right toolbar and select one of the various exporting options: save in numerous formats, download as PDF, email, or cloud.
With pdfFiller, dealing with documents is always straightforward. Try it right now!
Uncompromising security for your PDF editing and eSignature needs
Your private information is safe with pdfFiller. We employ end-to-end encryption, secure cloud storage, and advanced access control to protect your documents and maintain regulatory compliance.
How to fill out name farooq sultan
How to fill out name farooq sultan
01
Start by writing the first name 'Farooq' in the designated field.
02
Next, move on to the last name 'Sultan' and fill it out in the appropriate section.
03
Ensure that you write the full name 'Farooq Sultan' without any abbreviations or shortcuts.
Who needs name farooq sultan?
01
Anyone who requires accurate identification of an individual, such as government agencies, employers, academic institutions, etc., may need the full name 'Farooq Sultan'.
Fill
form
: Try Risk Free
For pdfFiller’s FAQs
Below is a list of the most common customer questions. If you can’t find an answer to your question, please don’t hesitate to reach out to us.
How do I make changes in name farooq sultan?
pdfFiller allows you to edit not only the content of your files, but also the quantity and sequence of the pages. Upload your name farooq sultan to the editor and make adjustments in a matter of seconds. Text in PDFs may be blacked out, typed in, and erased using the editor. You may also include photos, sticky notes, and text boxes, among other things.
Can I create an electronic signature for signing my name farooq sultan in Gmail?
It's easy to make your eSignature with pdfFiller, and then you can sign your name farooq sultan right from your Gmail inbox with the help of pdfFiller's add-on for Gmail. This is a very important point: You must sign up for an account so that you can save your signatures and signed documents.
Can I edit name farooq sultan on an iOS device?
Yes, you can. With the pdfFiller mobile app, you can instantly edit, share, and sign name farooq sultan on your iOS device. Get it at the Apple Store and install it in seconds. The application is free, but you will have to create an account to purchase a subscription or activate a free trial.
What is name farooq sultan?
Farooq Sultan is a name of an individual.
Who is required to file name farooq sultan?
Farooq Sultan or anyone with that name may be required to file certain documents or forms.
How to fill out name farooq sultan?
To fill out name Farooq Sultan, one should provide accurate information about themselves.
What is the purpose of name farooq sultan?
The purpose of name Farooq Sultan may vary depending on the context in which it is used.
What information must be reported on name farooq sultan?
The information required to be reported on name Farooq Sultan may include personal details, financial information, or other relevant data.
Fill out your name farooq sultan online with pdfFiller!
pdfFiller is an end-to-end solution for managing, creating, and editing documents and forms in the cloud. Save time and hassle by preparing your tax forms online.
Name Farooq Sultan is not the form you're looking for?Search for another form here.
Relevant keywords
Related Forms
If you believe that this page should be taken down, please follow our DMCA take down process
here
.
This form may include fields for payment information. Data entered in these fields is not covered by PCI DSS compliance.