Get the free David Perlman, Energy Regulatory Lawyer, DC Attorney ...
Show details
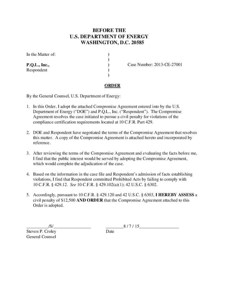
BEFORE THE U.S. DEPARTMENT OF ENERGY WASHINGTON, D.C. 20585 In the Matter of: P.Q.L., Inc., Respondent)))))Case Number: 2013CE27001ORDER By the General Counsel, U.S. Department of Energy: 1. In this
We are not affiliated with any brand or entity on this form
Get, Create, Make and Sign david perlman energy regulatory
Edit your david perlman energy regulatory form online
Type text, complete fillable fields, insert images, highlight or blackout data for discretion, add comments, and more.
Add your legally-binding signature
Draw or type your signature, upload a signature image, or capture it with your digital camera.
Share your form instantly
Email, fax, or share your david perlman energy regulatory form via URL. You can also download, print, or export forms to your preferred cloud storage service.
Editing david perlman energy regulatory online
Use the instructions below to start using our professional PDF editor:
1
Register the account. Begin by clicking Start Free Trial and create a profile if you are a new user.
2
Upload a file. Select Add New on your Dashboard and upload a file from your device or import it from the cloud, online, or internal mail. Then click Edit.
3
Edit david perlman energy regulatory. Add and replace text, insert new objects, rearrange pages, add watermarks and page numbers, and more. Click Done when you are finished editing and go to the Documents tab to merge, split, lock or unlock the file.
4
Save your file. Select it from your list of records. Then, move your cursor to the right toolbar and choose one of the exporting options. You can save it in multiple formats, download it as a PDF, send it by email, or store it in the cloud, among other things.
With pdfFiller, it's always easy to deal with documents. Try it right now
Uncompromising security for your PDF editing and eSignature needs
Your private information is safe with pdfFiller. We employ end-to-end encryption, secure cloud storage, and advanced access control to protect your documents and maintain regulatory compliance.
How to fill out david perlman energy regulatory
How to fill out david perlman energy regulatory
01
Obtain the necessary forms for the David Perlman energy regulatory paperwork.
02
Fill out all required fields on the forms accurately and completely.
03
Double-check the information provided for accuracy before submitting the paperwork.
04
Submit the completed forms to the appropriate regulatory body or department.
Who needs david perlman energy regulatory?
01
Energy companies looking to adhere to regulatory requirements.
02
Individuals or businesses seeking approval for energy projects.
03
Government agencies overseeing energy regulations.
Fill
form
: Try Risk Free
For pdfFiller’s FAQs
Below is a list of the most common customer questions. If you can’t find an answer to your question, please don’t hesitate to reach out to us.
How can I modify david perlman energy regulatory without leaving Google Drive?
pdfFiller and Google Docs can be used together to make your documents easier to work with and to make fillable forms right in your Google Drive. The integration will let you make, change, and sign documents, like david perlman energy regulatory, without leaving Google Drive. Add pdfFiller's features to Google Drive, and you'll be able to do more with your paperwork on any internet-connected device.
How do I complete david perlman energy regulatory online?
Easy online david perlman energy regulatory completion using pdfFiller. Also, it allows you to legally eSign your form and change original PDF material. Create a free account and manage documents online.
How do I complete david perlman energy regulatory on an Android device?
Complete your david perlman energy regulatory and other papers on your Android device by using the pdfFiller mobile app. The program includes all of the necessary document management tools, such as editing content, eSigning, annotating, sharing files, and so on. You will be able to view your papers at any time as long as you have an internet connection.
What is david perlman energy regulatory?
David Perlman energy regulatory refers to specific regulations and compliance requirements related to energy markets and usage, often associated with reporting and transparency in energy transactions.
Who is required to file david perlman energy regulatory?
Entities involved in energy production, distribution, and consumption, including utilities, producers, and large energy users, are typically required to file David Perlman energy regulatory.
How to fill out david perlman energy regulatory?
Filling out David Perlman energy regulatory typically involves completing specific forms provided by the regulatory authority, ensuring all data on energy production, consumption, and transactions are accurate and submitted within the required format.
What is the purpose of david perlman energy regulatory?
The purpose of David Perlman energy regulatory is to ensure transparency, accountability, and compliance in the energy sector, promoting fair practices and protecting consumer interests.
What information must be reported on david perlman energy regulatory?
Information that must be reported generally includes data on energy production levels, consumption details, emissions data, and any relevant financial transactions related to energy markets.
Fill out your david perlman energy regulatory online with pdfFiller!
pdfFiller is an end-to-end solution for managing, creating, and editing documents and forms in the cloud. Save time and hassle by preparing your tax forms online.
David Perlman Energy Regulatory is not the form you're looking for?Search for another form here.
Relevant keywords
Related Forms
If you believe that this page should be taken down, please follow our DMCA take down process
here
.
This form may include fields for payment information. Data entered in these fields is not covered by PCI DSS compliance.