
Get the free north carolina rental agreement: waiver and release of ...
Show details
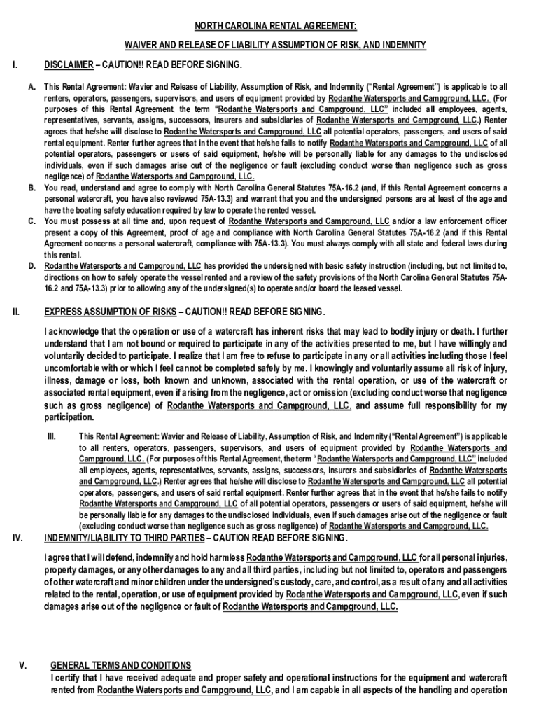
NORTH CAROLINA RENTAL AGREEMENT: WAIVER AND RELEASE OF LIABILITY ASSUMPTION OF RISK, AND INDEMNITY I.DISCLAIMER CAUTION!! READ BEFORE SIGNING. A. This Rental Agreement: Wavier and Release of Liability,
We are not affiliated with any brand or entity on this form
Get, Create, Make and Sign north carolina rental agreement

Edit your north carolina rental agreement form online
Type text, complete fillable fields, insert images, highlight or blackout data for discretion, add comments, and more.

Add your legally-binding signature
Draw or type your signature, upload a signature image, or capture it with your digital camera.

Share your form instantly
Email, fax, or share your north carolina rental agreement form via URL. You can also download, print, or export forms to your preferred cloud storage service.
Editing north carolina rental agreement online
Use the instructions below to start using our professional PDF editor:
1
Log in to your account. Click on Start Free Trial and register a profile if you don't have one.
2
Prepare a file. Use the Add New button. Then upload your file to the system from your device, importing it from internal mail, the cloud, or by adding its URL.
3
Edit north carolina rental agreement. Text may be added and replaced, new objects can be included, pages can be rearranged, watermarks and page numbers can be added, and so on. When you're done editing, click Done and then go to the Documents tab to combine, divide, lock, or unlock the file.
4
Get your file. When you find your file in the docs list, click on its name and choose how you want to save it. To get the PDF, you can save it, send an email with it, or move it to the cloud.
pdfFiller makes dealing with documents a breeze. Create an account to find out!
Uncompromising security for your PDF editing and eSignature needs
Your private information is safe with pdfFiller. We employ end-to-end encryption, secure cloud storage, and advanced access control to protect your documents and maintain regulatory compliance.
How to fill out north carolina rental agreement

How to fill out north carolina rental agreement
01
Obtain a blank copy of the North Carolina rental agreement form.
02
Fill in the landlord's name, address, and contact information.
03
Fill in the tenant's name, address, and contact information.
04
Specify the rental property's address and any relevant details.
05
Include the lease term, rent amount, due date, and any late fees.
06
Detail the security deposit amount and refund conditions.
07
Add any additional terms and conditions that both parties agree upon.
08
Have both parties sign and date the agreement.
Who needs north carolina rental agreement?
01
Landlords looking to rent out their property in North Carolina.
02
Tenants looking to secure a rental property in North Carolina.
Fill
form
: Try Risk Free
For pdfFiller’s FAQs
Below is a list of the most common customer questions. If you can’t find an answer to your question, please don’t hesitate to reach out to us.
How do I execute north carolina rental agreement online?
pdfFiller has made filling out and eSigning north carolina rental agreement easy. The solution is equipped with a set of features that enable you to edit and rearrange PDF content, add fillable fields, and eSign the document. Start a free trial to explore all the capabilities of pdfFiller, the ultimate document editing solution.
How do I make changes in north carolina rental agreement?
The editing procedure is simple with pdfFiller. Open your north carolina rental agreement in the editor. You may also add photos, draw arrows and lines, insert sticky notes and text boxes, and more.
Can I edit north carolina rental agreement on an Android device?
You can. With the pdfFiller Android app, you can edit, sign, and distribute north carolina rental agreement from anywhere with an internet connection. Take use of the app's mobile capabilities.
What is north carolina rental agreement?
A North Carolina rental agreement is a legally binding contract between a landlord and a tenant that outlines the terms and conditions of renting a property.
Who is required to file north carolina rental agreement?
Landlords are required to file a North Carolina rental agreement with their tenants before the start of the lease term.
How to fill out north carolina rental agreement?
To fill out a North Carolina rental agreement, you must include information about the property, the rent amount, the lease term, the security deposit, and any other terms or conditions agreed upon by the landlord and tenant.
What is the purpose of north carolina rental agreement?
The purpose of a North Carolina rental agreement is to protect both the landlord and the tenant by clearly outlining their rights and responsibilities during the rental period.
What information must be reported on north carolina rental agreement?
The North Carolina rental agreement must include details such as the names of the landlord and tenant, the address of the rental property, the lease term, the rent amount, and any rules or regulations that the tenant must follow.
Fill out your north carolina rental agreement online with pdfFiller!
pdfFiller is an end-to-end solution for managing, creating, and editing documents and forms in the cloud. Save time and hassle by preparing your tax forms online.

North Carolina Rental Agreement is not the form you're looking for?Search for another form here.
Relevant keywords
Related Forms
If you believe that this page should be taken down, please follow our DMCA take down process
here
.
This form may include fields for payment information. Data entered in these fields is not covered by PCI DSS compliance.