
Get the free Instructions for Completing Attachment 1 -Pricing Sheets
Show details
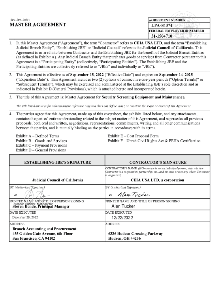
(Rev. Dec. 2019)AGREEMENT NUMBERMASTER AGREEMENTLPA84374 FEDERAL EMPLOYER ID NUMBER311504710 1. In this Master Agreement (Agreement), the term Contractor refers to CIA USA LTD, and the term Establishing
We are not affiliated with any brand or entity on this form
Get, Create, Make and Sign instructions for completing attachment

Edit your instructions for completing attachment form online
Type text, complete fillable fields, insert images, highlight or blackout data for discretion, add comments, and more.

Add your legally-binding signature
Draw or type your signature, upload a signature image, or capture it with your digital camera.

Share your form instantly
Email, fax, or share your instructions for completing attachment form via URL. You can also download, print, or export forms to your preferred cloud storage service.
How to edit instructions for completing attachment online
To use our professional PDF editor, follow these steps:
1
Register the account. Begin by clicking Start Free Trial and create a profile if you are a new user.
2
Prepare a file. Use the Add New button. Then upload your file to the system from your device, importing it from internal mail, the cloud, or by adding its URL.
3
Edit instructions for completing attachment. Add and change text, add new objects, move pages, add watermarks and page numbers, and more. Then click Done when you're done editing and go to the Documents tab to merge or split the file. If you want to lock or unlock the file, click the lock or unlock button.
4
Save your file. Select it from your list of records. Then, move your cursor to the right toolbar and choose one of the exporting options. You can save it in multiple formats, download it as a PDF, send it by email, or store it in the cloud, among other things.
pdfFiller makes working with documents easier than you could ever imagine. Try it for yourself by creating an account!
Uncompromising security for your PDF editing and eSignature needs
Your private information is safe with pdfFiller. We employ end-to-end encryption, secure cloud storage, and advanced access control to protect your documents and maintain regulatory compliance.
How to fill out instructions for completing attachment

How to fill out instructions for completing attachment
01
Read the instructions carefully to understand what information needs to be provided in the attachment.
02
Gather all the necessary documents and information before starting to fill out the attachment.
03
Fill out the attachment accurately and legibly, ensuring that all required fields are completed.
04
Double-check the completed attachment for any errors or missing information.
05
Submit the completed attachment as per the instructions provided.
Who needs instructions for completing attachment?
01
Individuals who are required to submit attachments as part of an application process.
02
Students applying for scholarships or grants.
03
Employees submitting expense reports or other documentation to their employers.
04
Businesses or organizations applying for licenses or permits that require additional information.
Fill
form
: Try Risk Free
For pdfFiller’s FAQs
Below is a list of the most common customer questions. If you can’t find an answer to your question, please don’t hesitate to reach out to us.
How can I send instructions for completing attachment for eSignature?
When you're ready to share your instructions for completing attachment, you can send it to other people and get the eSigned document back just as quickly. Share your PDF by email, fax, text message, or USPS mail. You can also notarize your PDF on the web. You don't have to leave your account to do this.
How do I edit instructions for completing attachment straight from my smartphone?
Using pdfFiller's mobile-native applications for iOS and Android is the simplest method to edit documents on a mobile device. You may get them from the Apple App Store and Google Play, respectively. More information on the apps may be found here. Install the program and log in to begin editing instructions for completing attachment.
Can I edit instructions for completing attachment on an iOS device?
Create, modify, and share instructions for completing attachment using the pdfFiller iOS app. Easy to install from the Apple Store. You may sign up for a free trial and then purchase a membership.
What is instructions for completing attachment?
Instructions for completing attachment provide guidance on how to properly fill out and submit an attachment.
Who is required to file instructions for completing attachment?
Any individual or entity that is required to submit the attachment must also file the instructions for completing attachment.
How to fill out instructions for completing attachment?
The instructions for completing attachment should be filled out following the guidelines and requirements provided by the relevant authority.
What is the purpose of instructions for completing attachment?
The purpose of instructions for completing attachment is to ensure that the attachment is completed accurately and in compliance with regulations.
What information must be reported on instructions for completing attachment?
The instructions for completing attachment must include details on the specific requirements and procedures for completing and submitting the attachment.
Fill out your instructions for completing attachment online with pdfFiller!
pdfFiller is an end-to-end solution for managing, creating, and editing documents and forms in the cloud. Save time and hassle by preparing your tax forms online.

Instructions For Completing Attachment is not the form you're looking for?Search for another form here.
Relevant keywords
Related Forms
If you believe that this page should be taken down, please follow our DMCA take down process
here
.
This form may include fields for payment information. Data entered in these fields is not covered by PCI DSS compliance.