Get the free Vete - VA Vendor Portal - Veterans Affairs
Show details
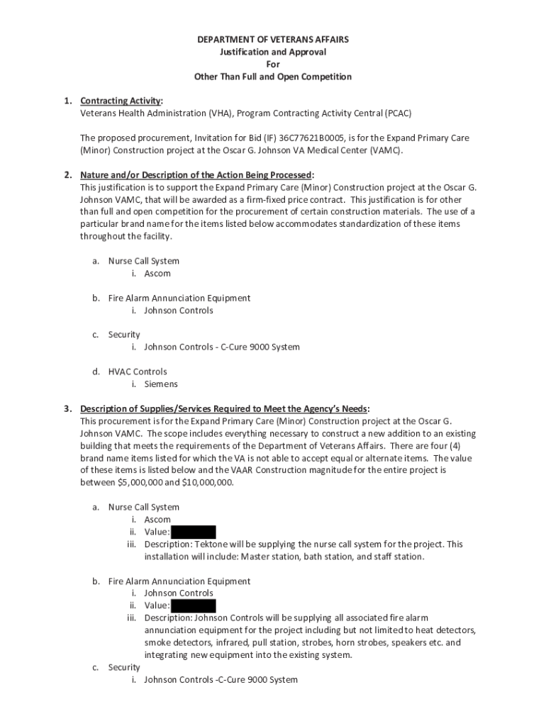
DEPARTMENT OF VETERANS AFFAIRS Justification and Approval For Other Than Full and Open Competition 1. Contracting Activity: Veterans Health Administration (VIA), Program Contracting Activity Central
We are not affiliated with any brand or entity on this form
Get, Create, Make and Sign vete - va vendor
Edit your vete - va vendor form online
Type text, complete fillable fields, insert images, highlight or blackout data for discretion, add comments, and more.
Add your legally-binding signature
Draw or type your signature, upload a signature image, or capture it with your digital camera.
Share your form instantly
Email, fax, or share your vete - va vendor form via URL. You can also download, print, or export forms to your preferred cloud storage service.
Editing vete - va vendor online
Follow the steps down below to take advantage of the professional PDF editor:
1
Register the account. Begin by clicking Start Free Trial and create a profile if you are a new user.
2
Prepare a file. Use the Add New button. Then upload your file to the system from your device, importing it from internal mail, the cloud, or by adding its URL.
3
Edit vete - va vendor. Add and change text, add new objects, move pages, add watermarks and page numbers, and more. Then click Done when you're done editing and go to the Documents tab to merge or split the file. If you want to lock or unlock the file, click the lock or unlock button.
4
Save your file. Select it from your list of records. Then, move your cursor to the right toolbar and choose one of the exporting options. You can save it in multiple formats, download it as a PDF, send it by email, or store it in the cloud, among other things.
With pdfFiller, it's always easy to work with documents. Try it out!
Uncompromising security for your PDF editing and eSignature needs
Your private information is safe with pdfFiller. We employ end-to-end encryption, secure cloud storage, and advanced access control to protect your documents and maintain regulatory compliance.
How to fill out vete - va vendor
How to fill out vete - va vendor
01
Obtain the necessary forms from the VA
02
Fill out the forms with accurate information
03
Include any required documentation or certifications
04
Submit the completed forms to the VA for approval
Who needs vete - va vendor?
01
Veterans looking to become vendors for the VA
02
Companies interested in providing goods or services to the VA
Fill
form
: Try Risk Free
For pdfFiller’s FAQs
Below is a list of the most common customer questions. If you can’t find an answer to your question, please don’t hesitate to reach out to us.
How can I send vete - va vendor to be eSigned by others?
When your vete - va vendor is finished, send it to recipients securely and gather eSignatures with pdfFiller. You may email, text, fax, mail, or notarize a PDF straight from your account. Create an account today to test it.
Can I create an electronic signature for the vete - va vendor in Chrome?
Yes. By adding the solution to your Chrome browser, you can use pdfFiller to eSign documents and enjoy all of the features of the PDF editor in one place. Use the extension to create a legally-binding eSignature by drawing it, typing it, or uploading a picture of your handwritten signature. Whatever you choose, you will be able to eSign your vete - va vendor in seconds.
How do I fill out vete - va vendor using my mobile device?
You can quickly make and fill out legal forms with the help of the pdfFiller app on your phone. Complete and sign vete - va vendor and other documents on your mobile device using the application. If you want to learn more about how the PDF editor works, go to pdfFiller.com.
What is vete - va vendor?
Vete - va vendor is a form required to be filed by vendors who have received payments from a governmental entity.
Who is required to file vete - va vendor?
Vendors who have received payments from a governmental entity are required to file vete - va vendor.
How to fill out vete - va vendor?
Vete - va vendor can be filled out online or by mail with the required information about the vendor and the payments received.
What is the purpose of vete - va vendor?
The purpose of vete - va vendor is to report payments received from a governmental entity in order to ensure transparency and compliance.
What information must be reported on vete - va vendor?
The vete - va vendor form must include information about the vendor, the payments received, and the governmental entity making the payments.
Fill out your vete - va vendor online with pdfFiller!
pdfFiller is an end-to-end solution for managing, creating, and editing documents and forms in the cloud. Save time and hassle by preparing your tax forms online.
Vete - Va Vendor is not the form you're looking for?Search for another form here.
Relevant keywords
If you believe that this page should be taken down, please follow our DMCA take down process
here
.
This form may include fields for payment information. Data entered in these fields is not covered by PCI DSS compliance.