
Get the free Austin Morales - Real Estate Agent in Chino, CA - Reviews
Show details
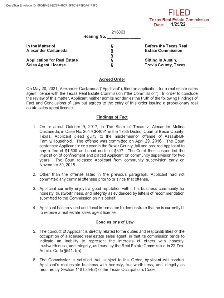
1/25/22 216063 Hearing No. ___ In the Matter of Alexander Castaneda Application for Real Estate Sales Agent License Before the Texas Real Estate Commission Sitting In Austin, Travis County, TexasAgreed
We are not affiliated with any brand or entity on this form
Get, Create, Make and Sign austin morales - real

Edit your austin morales - real form online
Type text, complete fillable fields, insert images, highlight or blackout data for discretion, add comments, and more.

Add your legally-binding signature
Draw or type your signature, upload a signature image, or capture it with your digital camera.

Share your form instantly
Email, fax, or share your austin morales - real form via URL. You can also download, print, or export forms to your preferred cloud storage service.
How to edit austin morales - real online
Use the instructions below to start using our professional PDF editor:
1
Log in. Click Start Free Trial and create a profile if necessary.
2
Upload a document. Select Add New on your Dashboard and transfer a file into the system in one of the following ways: by uploading it from your device or importing from the cloud, web, or internal mail. Then, click Start editing.
3
Edit austin morales - real. Add and replace text, insert new objects, rearrange pages, add watermarks and page numbers, and more. Click Done when you are finished editing and go to the Documents tab to merge, split, lock or unlock the file.
4
Get your file. Select your file from the documents list and pick your export method. You may save it as a PDF, email it, or upload it to the cloud.
Uncompromising security for your PDF editing and eSignature needs
Your private information is safe with pdfFiller. We employ end-to-end encryption, secure cloud storage, and advanced access control to protect your documents and maintain regulatory compliance.
How to fill out austin morales - real

How to fill out austin morales - real
01
Gather all necessary information such as personal details, educational background, work experience, and references.
02
Begin by filling out the basic information section, including name, contact information, and any identifying numbers.
03
Move on to the education section, listing your educational history including degrees, certifications, and relevant coursework.
04
Detail your work experience, starting with your most recent job and working backwards. Include job titles, responsibilities, and dates of employment.
05
Provide any additional information requested, such as references, skill sets, or personal achievements.
06
Review your completed form for accuracy and completeness before submitting.
Who needs austin morales - real?
01
Employers looking to hire a qualified candidate for a job position may need to review austin morales - real.
02
Educational institutions or scholarship committees may also require austin morales - real for admission or funding purposes.
03
Individuals applying for certain licenses or certifications may need to complete austin morales - real as part of the application process.
Fill
form
: Try Risk Free
For pdfFiller’s FAQs
Below is a list of the most common customer questions. If you can’t find an answer to your question, please don’t hesitate to reach out to us.
How can I send austin morales - real to be eSigned by others?
To distribute your austin morales - real, simply send it to others and receive the eSigned document back instantly. Post or email a PDF that you've notarized online. Doing so requires never leaving your account.
How do I edit austin morales - real straight from my smartphone?
You can do so easily with pdfFiller’s applications for iOS and Android devices, which can be found at the Apple Store and Google Play Store, respectively. Alternatively, you can get the app on our web page: https://edit-pdf-ios-android.pdffiller.com/. Install the application, log in, and start editing austin morales - real right away.
Can I edit austin morales - real on an Android device?
You can. With the pdfFiller Android app, you can edit, sign, and distribute austin morales - real from anywhere with an internet connection. Take use of the app's mobile capabilities.
What is austin morales - real?
Austin Morales - Real is a form used to report real estate transactions to the relevant tax authorities.
Who is required to file austin morales - real?
Individuals or entities involved in real estate transactions are required to file Austin Morales - Real.
How to fill out austin morales - real?
Austin Morales - Real can be filled out online or submitted in paper form, depending on the requirements of the tax authorities.
What is the purpose of austin morales - real?
The purpose of Austin Morales - Real is to ensure that real estate transactions are accurately reported for tax purposes.
What information must be reported on austin morales - real?
Information such as the purchase price, seller's information, buyer's information, and property details must be reported on Austin Morales - Real.
Fill out your austin morales - real online with pdfFiller!
pdfFiller is an end-to-end solution for managing, creating, and editing documents and forms in the cloud. Save time and hassle by preparing your tax forms online.

Austin Morales - Real is not the form you're looking for?Search for another form here.
Relevant keywords
Related Forms
If you believe that this page should be taken down, please follow our DMCA take down process
here
.
This form may include fields for payment information. Data entered in these fields is not covered by PCI DSS compliance.