Get the free Acquisition Plan Action ID: 36C242-20-AP-0809
Show details
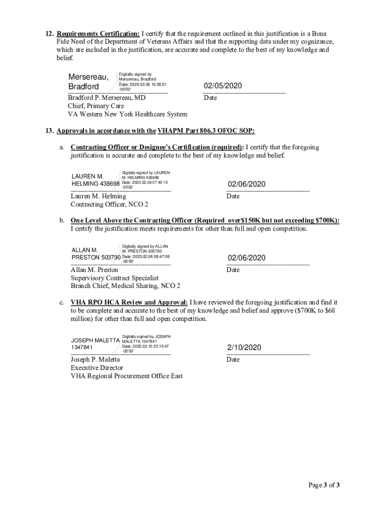
DEPARTMENT OF VETERANS AFFAIRS Justification and Approval (J&A) For Other Than Full and Open Competition (SAT) Acquisition Plan Action ID: 36C24220AP0809 1. Contracting Activity: Department of Veterans
We are not affiliated with any brand or entity on this form
Get, Create, Make and Sign acquisition plan action id
Edit your acquisition plan action id form online
Type text, complete fillable fields, insert images, highlight or blackout data for discretion, add comments, and more.
Add your legally-binding signature
Draw or type your signature, upload a signature image, or capture it with your digital camera.
Share your form instantly
Email, fax, or share your acquisition plan action id form via URL. You can also download, print, or export forms to your preferred cloud storage service.
Editing acquisition plan action id online
To use the professional PDF editor, follow these steps below:
1
Create an account. Begin by choosing Start Free Trial and, if you are a new user, establish a profile.
2
Prepare a file. Use the Add New button. Then upload your file to the system from your device, importing it from internal mail, the cloud, or by adding its URL.
3
Edit acquisition plan action id. Rearrange and rotate pages, add and edit text, and use additional tools. To save changes and return to your Dashboard, click Done. The Documents tab allows you to merge, divide, lock, or unlock files.
4
Save your file. Select it from your list of records. Then, move your cursor to the right toolbar and choose one of the exporting options. You can save it in multiple formats, download it as a PDF, send it by email, or store it in the cloud, among other things.
Uncompromising security for your PDF editing and eSignature needs
Your private information is safe with pdfFiller. We employ end-to-end encryption, secure cloud storage, and advanced access control to protect your documents and maintain regulatory compliance.
How to fill out acquisition plan action id
How to fill out acquisition plan action id
01
Identify the goals and objectives of the acquisition plan.
02
Define the scope of the acquisition plan action.
03
List the required resources and budget for the acquisition plan action.
04
Assign responsibilities to team members for implementing the acquisition plan action.
05
Set a timeline with milestones for the acquisition plan action.
06
Monitor and evaluate the progress of the acquisition plan action regularly.
07
Make necessary adjustments to the acquisition plan action as needed.
Who needs acquisition plan action id?
01
Government agencies
02
Businesses looking to expand or restructure
03
Non-profit organizations seeking to acquire assets or merge with other entities
Fill
form
: Try Risk Free
For pdfFiller’s FAQs
Below is a list of the most common customer questions. If you can’t find an answer to your question, please don’t hesitate to reach out to us.
How do I edit acquisition plan action id online?
With pdfFiller, it's easy to make changes. Open your acquisition plan action id in the editor, which is very easy to use and understand. When you go there, you'll be able to black out and change text, write and erase, add images, draw lines, arrows, and more. You can also add sticky notes and text boxes.
How do I fill out the acquisition plan action id form on my smartphone?
You can easily create and fill out legal forms with the help of the pdfFiller mobile app. Complete and sign acquisition plan action id and other documents on your mobile device using the application. Visit pdfFiller’s webpage to learn more about the functionalities of the PDF editor.
How can I fill out acquisition plan action id on an iOS device?
Install the pdfFiller app on your iOS device to fill out papers. Create an account or log in if you already have one. After registering, upload your acquisition plan action id. You may now use pdfFiller's advanced features like adding fillable fields and eSigning documents from any device, anywhere.
What is acquisition plan action id?
The acquisition plan action ID is a unique identifier assigned to a specific acquisition plan that outlines the strategy for acquiring goods or services.
Who is required to file acquisition plan action id?
Federal agencies and organizations involved in procurement and acquisitions are required to file the acquisition plan action ID.
How to fill out acquisition plan action id?
To fill out the acquisition plan action ID, one must provide relevant details such as the project description, objectives, budget, timelines, and other pertinent information as specified by the agency's guidelines.
What is the purpose of acquisition plan action id?
The purpose of the acquisition plan action ID is to ensure proper planning and accountability for the procurement process, facilitating efficient resource allocation and compliance with regulatory requirements.
What information must be reported on acquisition plan action id?
Key information that must be reported includes the project's scope, estimated costs, acquisition strategy, schedule, and measurable objectives.
Fill out your acquisition plan action id online with pdfFiller!
pdfFiller is an end-to-end solution for managing, creating, and editing documents and forms in the cloud. Save time and hassle by preparing your tax forms online.
Acquisition Plan Action Id is not the form you're looking for?Search for another form here.
Relevant keywords
Related Forms
If you believe that this page should be taken down, please follow our DMCA take down process
here
.
This form may include fields for payment information. Data entered in these fields is not covered by PCI DSS compliance.