Get the free program and underrepresented topics
Show details
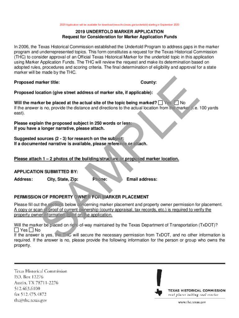
2020 Application will be available for download (www.thc.texas.gov/undertold) starting in September 20202019 UNDERSOLD MARKER APPLICATION Request for Consideration for Marker Application Funds In
We are not affiliated with any brand or entity on this form
Get, Create, Make and Sign program and underrepresented topics
Edit your program and underrepresented topics form online
Type text, complete fillable fields, insert images, highlight or blackout data for discretion, add comments, and more.
Add your legally-binding signature
Draw or type your signature, upload a signature image, or capture it with your digital camera.
Share your form instantly
Email, fax, or share your program and underrepresented topics form via URL. You can also download, print, or export forms to your preferred cloud storage service.
How to edit program and underrepresented topics online
Follow the steps down below to use a professional PDF editor:
1
Check your account. In case you're new, it's time to start your free trial.
2
Prepare a file. Use the Add New button. Then upload your file to the system from your device, importing it from internal mail, the cloud, or by adding its URL.
3
Edit program and underrepresented topics. Rearrange and rotate pages, add new and changed texts, add new objects, and use other useful tools. When you're done, click Done. You can use the Documents tab to merge, split, lock, or unlock your files.
4
Save your file. Select it in the list of your records. Then, move the cursor to the right toolbar and choose one of the available exporting methods: save it in multiple formats, download it as a PDF, send it by email, or store it in the cloud.
With pdfFiller, it's always easy to work with documents.
Uncompromising security for your PDF editing and eSignature needs
Your private information is safe with pdfFiller. We employ end-to-end encryption, secure cloud storage, and advanced access control to protect your documents and maintain regulatory compliance.
How to fill out program and underrepresented topics
How to fill out program and underrepresented topics
01
Research and identify underrepresented topics relevant to the program.
02
Create a detailed outline or curriculum that includes these underrepresented topics.
03
Design engaging and interactive learning materials that cover the underrepresented topics.
04
Ensure that the program provides opportunities for discussion and exploration of these topics.
05
Seek feedback from underrepresented communities to ensure the program is inclusive and respectful of their perspectives.
Who needs program and underrepresented topics?
01
Educators and curriculum developers looking to create more diverse and inclusive programs.
02
Organizations striving to address gaps in existing programs and provide more equitable learning opportunities.
03
Students and learners who want exposure to a broader range of topics and perspectives.
Fill
form
: Try Risk Free
For pdfFiller’s FAQs
Below is a list of the most common customer questions. If you can’t find an answer to your question, please don’t hesitate to reach out to us.
How can I modify program and underrepresented topics without leaving Google Drive?
By combining pdfFiller with Google Docs, you can generate fillable forms directly in Google Drive. No need to leave Google Drive to make edits or sign documents, including program and underrepresented topics. Use pdfFiller's features in Google Drive to handle documents on any internet-connected device.
Can I create an electronic signature for the program and underrepresented topics in Chrome?
Yes. With pdfFiller for Chrome, you can eSign documents and utilize the PDF editor all in one spot. Create a legally enforceable eSignature by sketching, typing, or uploading a handwritten signature image. You may eSign your program and underrepresented topics in seconds.
Can I edit program and underrepresented topics on an Android device?
Yes, you can. With the pdfFiller mobile app for Android, you can edit, sign, and share program and underrepresented topics on your mobile device from any location; only an internet connection is needed. Get the app and start to streamline your document workflow from anywhere.
What is program and underrepresented topics?
Program and underrepresented topics refer to initiatives and subjects that are designed to address issues of diversity, equity, and inclusion.
Who is required to file program and underrepresented topics?
Organizations and institutions that receive funding or grants specifically designated for diversity and inclusion programs are required to report on their program and underrepresented topics.
How to fill out program and underrepresented topics?
Program and underrepresented topics can be filled out by providing detailed information on the initiatives, strategies, and outcomes related to diversity, equity, and inclusion efforts.
What is the purpose of program and underrepresented topics?
The purpose of program and underrepresented topics is to ensure transparency and accountability in organizations' efforts to promote diversity, equity, and inclusion.
What information must be reported on program and underrepresented topics?
Information that must be reported on program and underrepresented topics includes the goals, activities, impact, and outcomes of diversity and inclusion initiatives.
Fill out your program and underrepresented topics online with pdfFiller!
pdfFiller is an end-to-end solution for managing, creating, and editing documents and forms in the cloud. Save time and hassle by preparing your tax forms online.
Program And Underrepresented Topics is not the form you're looking for?Search for another form here.
Relevant keywords
Related Forms
If you believe that this page should be taken down, please follow our DMCA take down process
here
.
This form may include fields for payment information. Data entered in these fields is not covered by PCI DSS compliance.