Form preview

Get the free D 17 03 MAR del

Get Form
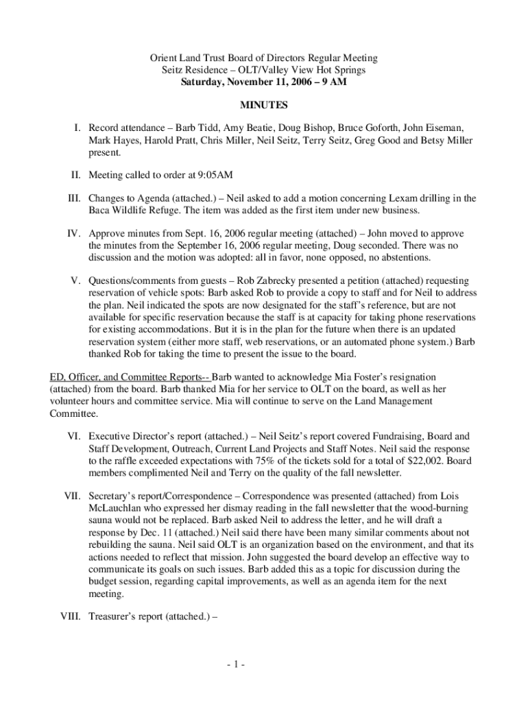
Orient Land Trust Board of Directors Regular Meeting Sat Residence OLT/Valley View Hot Springs Saturday, November 11, 2006 9 AM MINUTES I. Record attendance Barb Tied, Amy Bertie, Doug Bishop, Bruce
We are not affiliated with any brand or entity on this form

Get, Create, Make and Sign d 17 03 mar

Edit
Edit your d 17 03 mar form online
Type text, complete fillable fields, insert images, highlight or blackout data for discretion, add comments, and more.
Add
Add your legally-binding signature
Draw or type your signature, upload a signature image, or capture it with your digital camera.
Share
Share your form instantly
Email, fax, or share your d 17 03 mar form via URL. You can also download, print, or export forms to your preferred cloud storage service.

Editing d 17 03 mar online

9.5
Ease of Setup
pdfFiller User Ratings on G2
9.0
Ease of Use
pdfFiller User Ratings on G2
To use our professional PDF editor, follow these steps:
1
Log into your account. If you don't have a profile yet, click Start Free Trial and sign up for one.
2
Prepare a file. Use the Add New button to start a new project. Then, using your device, upload your file to the system by importing it from internal mail, the cloud, or adding its URL.
3
Edit d 17 03 mar. Rearrange and rotate pages, add new and changed texts, add new objects, and use other useful tools. When you're done, click Done. You can use the Documents tab to merge, split, lock, or unlock your files.
4
Save your file. Select it from your records list. Then, click the right toolbar and select one of the various exporting options: save in numerous formats, download as PDF, email, or cloud.
Dealing with documents is always simple with pdfFiller.

Uncompromising security for your PDF editing and eSignature needs

Your private information is safe with pdfFiller. We employ end-to-end encryption, secure cloud storage, and advanced access control to protect your documents and maintain regulatory compliance.
GDPR
AICPA SOC 2
PCI
HIPAA
CCPA
FDA

How to fill out d 17 03 mar

Illustration

How to fill out d 17 03 mar

01
Gather all necessary information required for filling out form D 17 03 mar
02
Read the instructions carefully before filling out the form.
03
Fill in the personal details and other relevant information as required.
04
Double-check all the information provided in the form for accuracy.
05
Sign and date the form before submitting it.

Who needs d 17 03 mar?

01
Individuals or businesses who are required to report certain information to a specific organization or authority may need form D 17 03 mar.
02
It is important for those who need to provide detailed information in a structured format to use form D 17 03 mar.
Fill form : Try Risk Free
Users Most Likely To Recommend - Summer 2025
Grid Leader in Small-Business - Summer 2025
High Performer - Summer 2025
Regional Leader - Summer 2025
Easiest To Do Business With - Summer 2025
Best Meets Requirements- Summer 2025
Rate the form
4.1
Satisfied
37 Votes

For pdfFiller’s FAQs

Below is a list of the most common customer questions. If you can’t find an answer to your question, please don’t hesitate to reach out to us.

As a PDF editor and form builder, pdfFiller has a lot of features. It also has a powerful e-signature tool that you can add to your Chrome browser. With our extension, you can type, draw, or take a picture of your signature with your webcam to make your legally-binding eSignature. Choose how you want to sign your d 17 03 mar and you'll be done in minutes.
Use the pdfFiller mobile app to create, edit, and share d 17 03 mar from your iOS device. Install it from the Apple Store in seconds. You can benefit from a free trial and choose a subscription that suits your needs.
You can edit, sign, and distribute d 17 03 mar on your mobile device from anywhere using the pdfFiller mobile app for Android; all you need is an internet connection. Download the app and begin streamlining your document workflow from anywhere.
d 17 03 mar is a tax form used for reporting financial information.
Individuals or businesses meeting certain criteria are required to file d 17 03 mar.
To fill out d 17 03 mar, one must provide accurate financial information as per the instructions on the form.
The purpose of d 17 03 mar is to report financial information to the relevant tax authorities.
Information such as income, expenses, deductions, and credits must be reported on d 17 03 mar.
Fill out your d 17 03 mar online with pdfFiller!

pdfFiller is an end-to-end solution for managing, creating, and editing documents and forms in the cloud. Save time and hassle by preparing your tax forms online.

Get started now
Form preview
If you believe that this page should be taken down, please follow our DMCA take down process here .
This form may include fields for payment information. Data entered in these fields is not covered by PCI DSS compliance.