Get the free Central Carolina Community College: CCCC
Show details
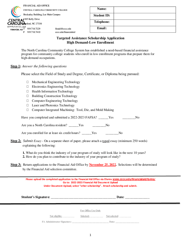
FINANCIAL AID Filename:CENTRAL CAROLINA COMMUNITY COLLEGEHockaday Building, Lee Main CampusStudent ID:1105 Kelly DriveTelephone:Sanford, NC 27330 T F919.718.7229 919.718.7410Email:finaid@cccc.edu
We are not affiliated with any brand or entity on this form
Get, Create, Make and Sign central carolina community college
Edit your central carolina community college form online
Type text, complete fillable fields, insert images, highlight or blackout data for discretion, add comments, and more.
Add your legally-binding signature
Draw or type your signature, upload a signature image, or capture it with your digital camera.
Share your form instantly
Email, fax, or share your central carolina community college form via URL. You can also download, print, or export forms to your preferred cloud storage service.
Editing central carolina community college online
Follow the guidelines below to benefit from the PDF editor's expertise:
1
Create an account. Begin by choosing Start Free Trial and, if you are a new user, establish a profile.
2
Prepare a file. Use the Add New button to start a new project. Then, using your device, upload your file to the system by importing it from internal mail, the cloud, or adding its URL.
3
Edit central carolina community college. Rearrange and rotate pages, insert new and alter existing texts, add new objects, and take advantage of other helpful tools. Click Done to apply changes and return to your Dashboard. Go to the Documents tab to access merging, splitting, locking, or unlocking functions.
4
Save your file. Select it in the list of your records. Then, move the cursor to the right toolbar and choose one of the available exporting methods: save it in multiple formats, download it as a PDF, send it by email, or store it in the cloud.
With pdfFiller, it's always easy to deal with documents.
Uncompromising security for your PDF editing and eSignature needs
Your private information is safe with pdfFiller. We employ end-to-end encryption, secure cloud storage, and advanced access control to protect your documents and maintain regulatory compliance.
How to fill out central carolina community college
How to fill out central carolina community college
01
Visit the Central Carolina Community College website or contact the admissions office for more details on the application process.
02
Complete the online application form with accurate personal and academic information.
03
Submit any required documents such as high school transcripts, standardized test scores, and proof of residency.
04
Pay the application fee, if applicable.
05
Wait for confirmation of acceptance and further instructions from the college.
Who needs central carolina community college?
01
Individuals looking to further their education and pursue a degree or certificate.
02
High school graduates interested in gaining new skills or advancing their career.
03
Adult learners seeking professional development or continuing education opportunities.
Fill
form
: Try Risk Free
For pdfFiller’s FAQs
Below is a list of the most common customer questions. If you can’t find an answer to your question, please don’t hesitate to reach out to us.
How can I send central carolina community college to be eSigned by others?
central carolina community college is ready when you're ready to send it out. With pdfFiller, you can send it out securely and get signatures in just a few clicks. PDFs can be sent to you by email, text message, fax, USPS mail, or notarized on your account. You can do this right from your account. Become a member right now and try it out for yourself!
How do I complete central carolina community college online?
pdfFiller has made it easy to fill out and sign central carolina community college. You can use the solution to change and move PDF content, add fields that can be filled in, and sign the document electronically. Start a free trial of pdfFiller, the best tool for editing and filling in documents.
How do I fill out central carolina community college using my mobile device?
Use the pdfFiller mobile app to complete and sign central carolina community college on your mobile device. Visit our web page (https://edit-pdf-ios-android.pdffiller.com/) to learn more about our mobile applications, the capabilities you’ll have access to, and the steps to take to get up and running.
What is central carolina community college?
Central Carolina Community College is a public community college located in North Carolina, providing various educational and workforce development programs.
Who is required to file central carolina community college?
Students and faculty members are required to fill out forms related to Central Carolina Community College for enrollment and academic purposes.
How to fill out central carolina community college?
To fill out Central Carolina Community College forms, students and faculty members need to provide personal and academic information as requested on the forms.
What is the purpose of central carolina community college?
The purpose of Central Carolina Community College is to provide affordable and accessible education, as well as career training programs, to the local community.
What information must be reported on central carolina community college?
Information such as personal details, academic qualifications, enrollment status, and financial aid requirements may need to be reported on Central Carolina Community College forms.
Fill out your central carolina community college online with pdfFiller!
pdfFiller is an end-to-end solution for managing, creating, and editing documents and forms in the cloud. Save time and hassle by preparing your tax forms online.
Central Carolina Community College is not the form you're looking for?Search for another form here.
Relevant keywords
Related Forms
If you believe that this page should be taken down, please follow our DMCA take down process
here
.
This form may include fields for payment information. Data entered in these fields is not covered by PCI DSS compliance.