Get the free 1306.02. Mayor to submit proposed Land Use Element ...
Show details
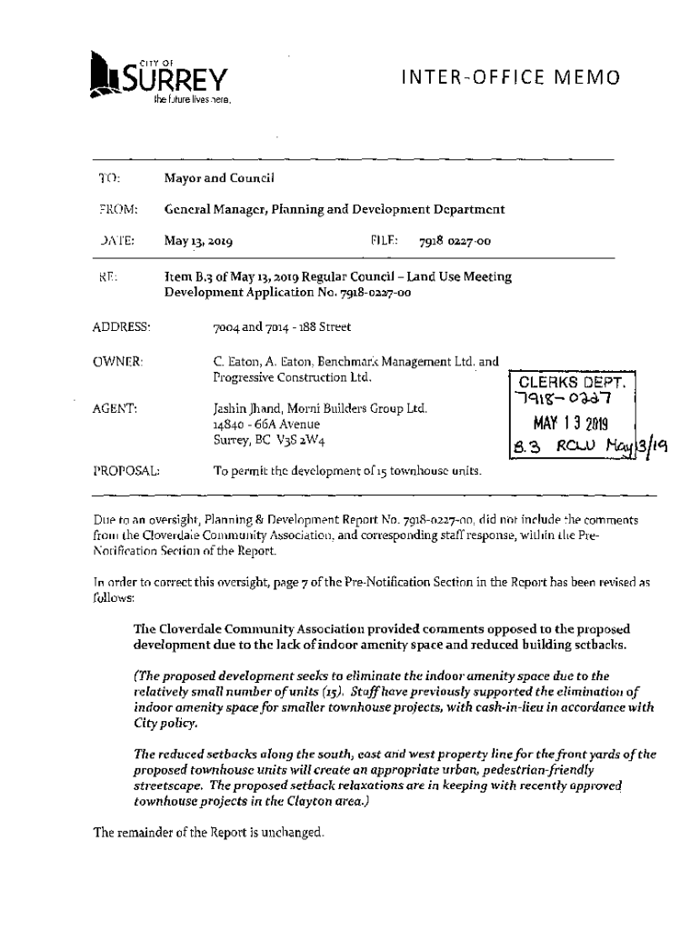
Lisle\'PREY INTEROFFICE MEMO the future lives here.TO:Mayor and Councilor:General Manager, Planning and Development Departmental:May 13, 2019RE:Item B.3 of May 13, 2019, Regular Council Land Use Meeting
We are not affiliated with any brand or entity on this form
Get, Create, Make and Sign 130602 mayor to submit
Edit your 130602 mayor to submit form online
Type text, complete fillable fields, insert images, highlight or blackout data for discretion, add comments, and more.
Add your legally-binding signature
Draw or type your signature, upload a signature image, or capture it with your digital camera.
Share your form instantly
Email, fax, or share your 130602 mayor to submit form via URL. You can also download, print, or export forms to your preferred cloud storage service.
How to edit 130602 mayor to submit online
In order to make advantage of the professional PDF editor, follow these steps:
1
Register the account. Begin by clicking Start Free Trial and create a profile if you are a new user.
2
Upload a document. Select Add New on your Dashboard and transfer a file into the system in one of the following ways: by uploading it from your device or importing from the cloud, web, or internal mail. Then, click Start editing.
3
Edit 130602 mayor to submit. Rearrange and rotate pages, insert new and alter existing texts, add new objects, and take advantage of other helpful tools. Click Done to apply changes and return to your Dashboard. Go to the Documents tab to access merging, splitting, locking, or unlocking functions.
4
Get your file. Select the name of your file in the docs list and choose your preferred exporting method. You can download it as a PDF, save it in another format, send it by email, or transfer it to the cloud.
pdfFiller makes working with documents easier than you could ever imagine. Try it for yourself by creating an account!
Uncompromising security for your PDF editing and eSignature needs
Your private information is safe with pdfFiller. We employ end-to-end encryption, secure cloud storage, and advanced access control to protect your documents and maintain regulatory compliance.
How to fill out 130602 mayor to submit
How to fill out 130602 mayor to submit
01
Obtain a copy of form 130602 mayor from the appropriate government office.
02
Fill out all necessary fields on the form, including personal information, property details, and reason for submission.
03
Attach any required documents or evidence to support your submission.
04
Review the completed form for accuracy and make any necessary corrections.
05
Submit the form to the designated office or authority according to their instructions.
06
Wait for confirmation of receipt and any further instructions or actions required.
Who needs 130602 mayor to submit?
01
Property owners who are seeking approval or permission from local government authorities for construction, renovation, or other changes to their property.
02
Individuals or organizations looking to make a formal request or application to the mayor's office for a specific purpose.
Fill
form
: Try Risk Free
For pdfFiller’s FAQs
Below is a list of the most common customer questions. If you can’t find an answer to your question, please don’t hesitate to reach out to us.
How do I complete 130602 mayor to submit online?
pdfFiller has made filling out and eSigning 130602 mayor to submit easy. The solution is equipped with a set of features that enable you to edit and rearrange PDF content, add fillable fields, and eSign the document. Start a free trial to explore all the capabilities of pdfFiller, the ultimate document editing solution.
How do I make changes in 130602 mayor to submit?
The editing procedure is simple with pdfFiller. Open your 130602 mayor to submit in the editor. You may also add photos, draw arrows and lines, insert sticky notes and text boxes, and more.
Can I create an electronic signature for the 130602 mayor to submit in Chrome?
Yes, you can. With pdfFiller, you not only get a feature-rich PDF editor and fillable form builder but a powerful e-signature solution that you can add directly to your Chrome browser. Using our extension, you can create your legally-binding eSignature by typing, drawing, or capturing a photo of your signature using your webcam. Choose whichever method you prefer and eSign your 130602 mayor to submit in minutes.
What is 130602 mayor to submit?
130602 mayor to submit is a form used for reporting financial information.
Who is required to file 130602 mayor to submit?
All mayors are required to file 130602 mayor to submit.
How to fill out 130602 mayor to submit?
130602 mayor to submit can be filled out online or by mail.
What is the purpose of 130602 mayor to submit?
The purpose of 130602 mayor to submit is to provide transparency in financial matters.
What information must be reported on 130602 mayor to submit?
On 130602 mayor to submit, information such as income, expenses, and assets must be reported.
Fill out your 130602 mayor to submit online with pdfFiller!
pdfFiller is an end-to-end solution for managing, creating, and editing documents and forms in the cloud. Save time and hassle by preparing your tax forms online.
130602 Mayor To Submit is not the form you're looking for?Search for another form here.
Relevant keywords
Related Forms
If you believe that this page should be taken down, please follow our DMCA take down process
here
.
This form may include fields for payment information. Data entered in these fields is not covered by PCI DSS compliance.