
Get the free Minnick School - Bristol in Virginia - U.S. News Education
Show details
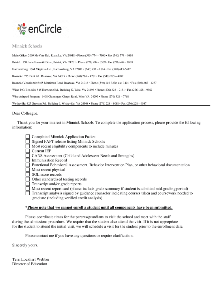
Min nick Schools Main Office: 2609 Mitty Rd., Roanoke, VA 24018 Phone (540) 774 7100 Fax (540) 774 1084 Bristol: 150 Janie Hammett Drive, Bristol, VA 24201 Phone (276) 494 0539 Fax (276) 494 0538
We are not affiliated with any brand or entity on this form
Get, Create, Make and Sign minnick school - bristol

Edit your minnick school - bristol form online
Type text, complete fillable fields, insert images, highlight or blackout data for discretion, add comments, and more.

Add your legally-binding signature
Draw or type your signature, upload a signature image, or capture it with your digital camera.

Share your form instantly
Email, fax, or share your minnick school - bristol form via URL. You can also download, print, or export forms to your preferred cloud storage service.
Editing minnick school - bristol online
To use the services of a skilled PDF editor, follow these steps:
1
Sign into your account. It's time to start your free trial.
2
Prepare a file. Use the Add New button. Then upload your file to the system from your device, importing it from internal mail, the cloud, or by adding its URL.
3
Edit minnick school - bristol. Rearrange and rotate pages, add and edit text, and use additional tools. To save changes and return to your Dashboard, click Done. The Documents tab allows you to merge, divide, lock, or unlock files.
4
Get your file. When you find your file in the docs list, click on its name and choose how you want to save it. To get the PDF, you can save it, send an email with it, or move it to the cloud.
Uncompromising security for your PDF editing and eSignature needs
Your private information is safe with pdfFiller. We employ end-to-end encryption, secure cloud storage, and advanced access control to protect your documents and maintain regulatory compliance.
How to fill out minnick school - bristol

How to fill out minnick school - bristol
01
Obtain an application form for Minnick School - Bristol.
02
Fill out all the required personal information accurately, such as name, address, contact details, etc.
03
Provide any additional information or documents requested by the school, such as academic transcripts or recommendation letters.
04
Review the completed form to ensure all sections are filled out correctly.
05
Submit the application form to the school either in person or through the designated submission method.
Who needs minnick school - bristol?
01
Students who require a specialized education program tailored to their individual needs.
02
Students who may benefit from smaller class sizes and individualized attention.
03
Students who may have struggled in traditional school settings and require a different approach to learning.
04
Students looking for a supportive and inclusive educational environment.
Fill
form
: Try Risk Free
For pdfFiller’s FAQs
Below is a list of the most common customer questions. If you can’t find an answer to your question, please don’t hesitate to reach out to us.
How do I modify my minnick school - bristol in Gmail?
You can use pdfFiller’s add-on for Gmail in order to modify, fill out, and eSign your minnick school - bristol along with other documents right in your inbox. Find pdfFiller for Gmail in Google Workspace Marketplace. Use time you spend on handling your documents and eSignatures for more important things.
Can I create an electronic signature for signing my minnick school - bristol in Gmail?
Use pdfFiller's Gmail add-on to upload, type, or draw a signature. Your minnick school - bristol and other papers may be signed using pdfFiller. Register for a free account to preserve signed papers and signatures.
How do I fill out the minnick school - bristol form on my smartphone?
Use the pdfFiller mobile app to complete and sign minnick school - bristol on your mobile device. Visit our web page (https://edit-pdf-ios-android.pdffiller.com/) to learn more about our mobile applications, the capabilities you’ll have access to, and the steps to take to get up and running.
What is minnick school - bristol?
Minnick School - Bristol is a private school located in Bristol, providing education services to students in the area.
Who is required to file minnick school - bristol?
Parents or guardians of students attending Minnick School - Bristol may be required to file certain documents or information related to their child's education.
How to fill out minnick school - bristol?
To fill out documents related to Minnick School - Bristol, parents or guardians can typically access forms online or through the school administration.
What is the purpose of minnick school - bristol?
The purpose of Minnick School - Bristol is to provide a quality education to students in the Bristol area, helping them achieve academic success.
What information must be reported on minnick school - bristol?
Information such as student enrollment, attendance records, academic progress, and any relevant school policies may need to be reported on Minnick School - Bristol.
Fill out your minnick school - bristol online with pdfFiller!
pdfFiller is an end-to-end solution for managing, creating, and editing documents and forms in the cloud. Save time and hassle by preparing your tax forms online.

Minnick School - Bristol is not the form you're looking for?Search for another form here.
Relevant keywords
Related Forms
If you believe that this page should be taken down, please follow our DMCA take down process
here
.
This form may include fields for payment information. Data entered in these fields is not covered by PCI DSS compliance.